Đăng nhập để hỏi chi tiết


Hãy luôn nhớ cảm ơn và vote 5*
nếu câu trả lời hữu ích nhé!
Giải thích các bước giải:
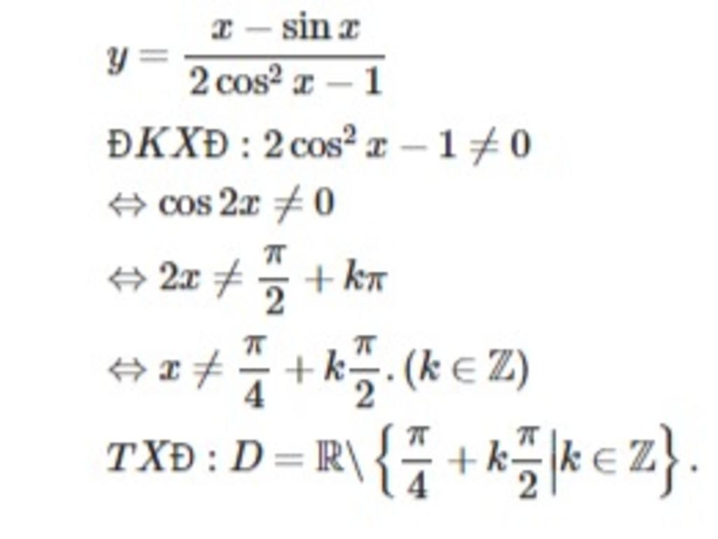
Áp dụng công thức nhân đôi: $\cos2x=2\cos^2x-1$
Chứng minh:
$\cos2x\\=\cos(x+x)\\=\cos x.\cos x-\sin x.\sin x\\=\cos^2x-\sin^2x\\=2\cos^2x-1.$
Hãy giúp mọi người biết câu trả lời này thế nào?
Bảng tin