Vui lòng chỉ chọn một câu hỏi
Hoidap247.com Nhanh chóng, chính xác
+
Danh mục mới
0
20
Hãy luôn nhớ cảm ơn và vote 5* nếu câu trả lời hữu ích nhé!
3479
66023
3070
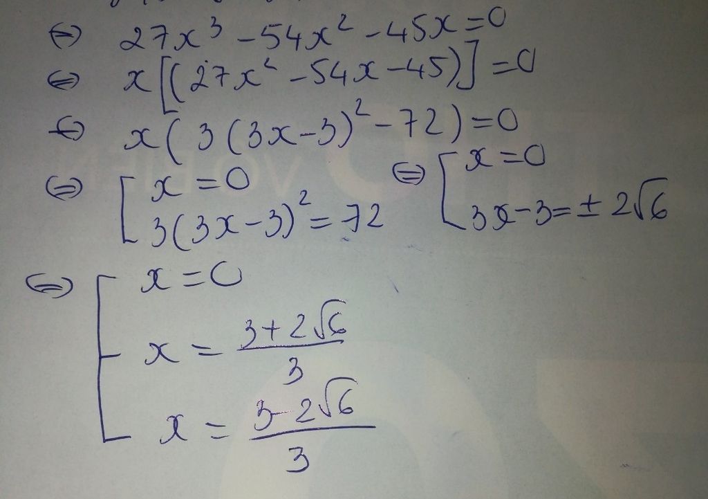
Đáp án:
Giải thích các bước giải:
Hãy giúp mọi người biết câu trả lời này thế nào?
42
1057
23
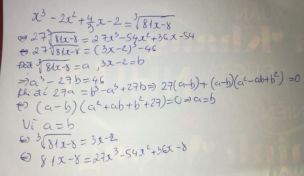
Giải thích các bước giải:bạn có thể tham khảo
Bảng tin
Gửi yêu cầu Hủy