

Hãy luôn nhớ cảm ơn và vote 5*
nếu câu trả lời hữu ích nhé!
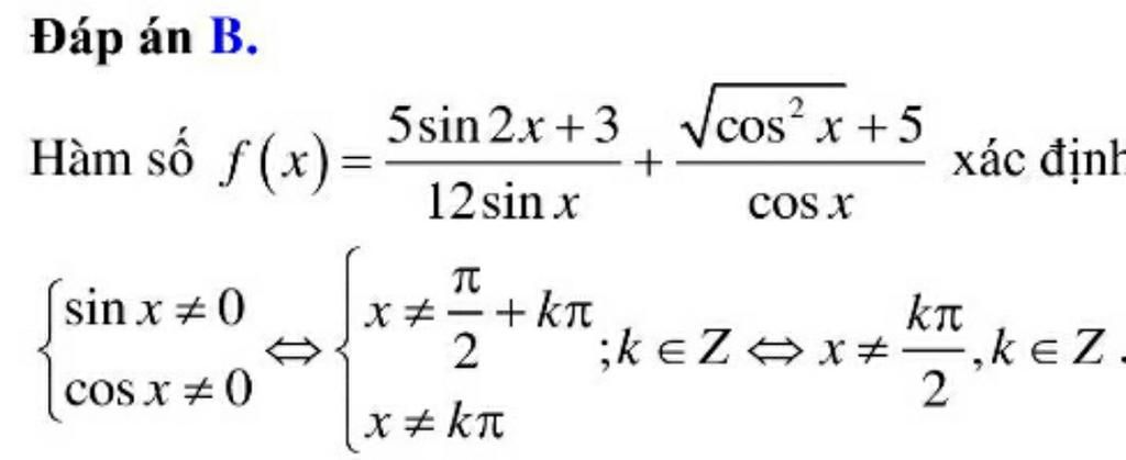
$\left\{ \begin{array}{l} x \ne \dfrac{\pi }{2} + k\pi \\ x \ne k\pi \end{array} \right.\left( {k \in Z} \right)$
Biểu diễn $\dfrac{\pi} 2+k\pi$ ta được hai điểm điểm thuộc giao điểm của đường tròn lượng giác với $Oy$
Biểu diễn $k\pi$ ta được hai điểm thuộc giao điểm của đường tròn lượng giác với $Ox$
Vậy ta được $x$ phải khác bốn điểm là giao điểm của đường tròn lượng giác với $Ox, Oy$
Ta có bốn điểm ấy có chu kì là $\dfrac{\pi} 2$ nên từ đó ta lấy một điểm làm mốc. Lấy mốc nhỏ nhất là 0 ta được
$x\ne \dfrac{k\pi} 2, k\in \mathbb{Z}$
Hãy giúp mọi người biết câu trả lời này thế nào?
Bảng tin
0
5
0
Là sao ạ mình vẫn chưa hiểu ở chỗ kπ cho lắm
498
1194
798
K=1,2,3.... Nó cứ chạy mãi
498
1194
798
Kπ là số nguyên lần pi
0
5
0
À mình cảm ơn b