Vui lòng chỉ chọn một câu hỏi
Hoidap247.com Nhanh chóng, chính xác
+
Danh mục mới
0
100
Hãy luôn nhớ cảm ơn và vote 5* nếu câu trả lời hữu ích nhé!
211
1696
152
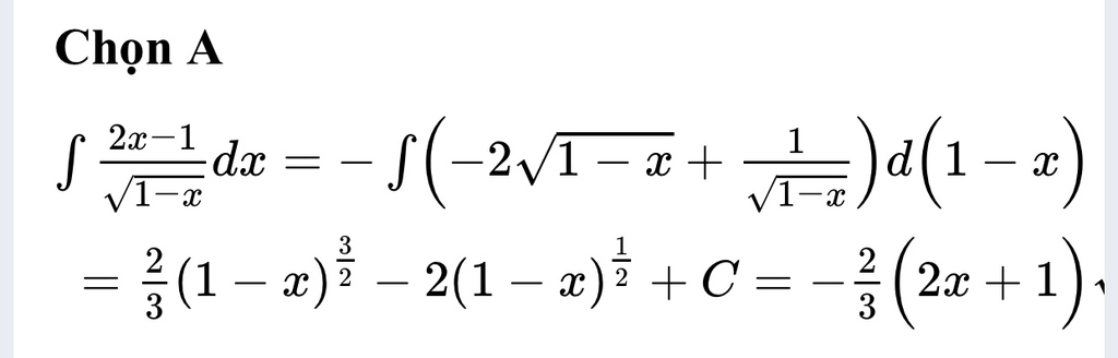
Đáp án:
Giải thích các bước giải:
A
Hãy giúp mọi người biết câu trả lời này thế nào?
1470
23008
1026
bạn ơi,chung nik không???
Bảng tin
Gửi yêu cầu Hủy
1470
23008
1026
bạn ơi,chung nik không???