Đăng nhập để hỏi chi tiết


Hãy luôn nhớ cảm ơn và vote 5*
nếu câu trả lời hữu ích nhé!
Đáp án+Giải thích các bước giải:
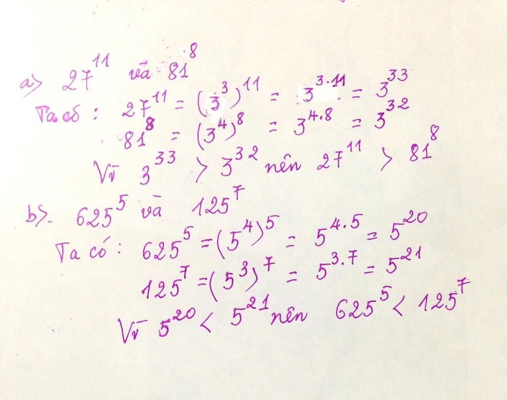
`1)`
Ta có : `27^11=(3^3)^11=3^33` (1)
`81^(8)=(3^4)^8=3^32` (2)
Từ `(1)(2) =>27^11>81^8`
`2)`
Ta có : `625^(5)=(5^4)^5=5^20` (1)
`125^7=(5^3)^7=5^21` (2)
Từ `(1)(2) => 625^5<125^7`
`#Study well`
Hãy giúp mọi người biết câu trả lời này thế nào?

Bảng tin