

Hãy luôn nhớ cảm ơn và vote 5*
nếu câu trả lời hữu ích nhé!
+) Gọi x là số xe của đội (chiếc)(với điều kiện x>0) .
+) Nếu toàn bộ xe hoạt động thì mỗi xe phải chở 120/x (tấn hàng)
+) Hôm làm việc có 2 xe phải điều đi nơi khác nên số xe hôm làm việc là x - 2 (chiếc ) và mỗi xe hôm làm việc phải chở 120/(x-2) (tấn hàng)
*)) Theo bài ra ta có phương trình:
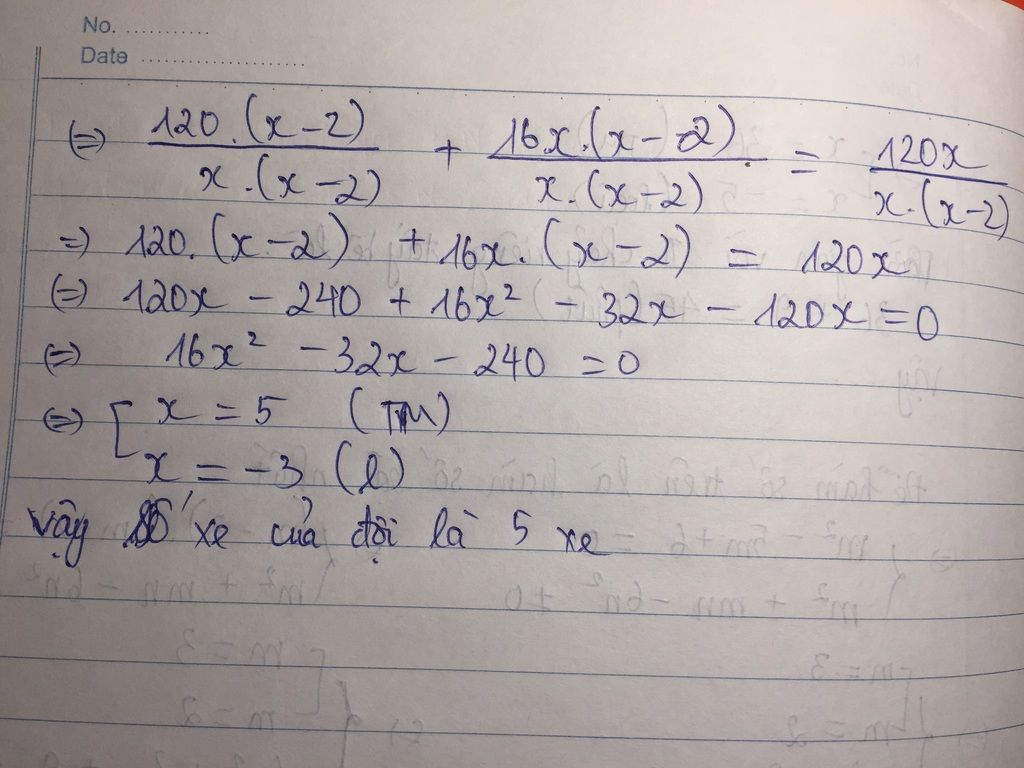
120/x + 16 = 120/(x-2)
<=>120(x-2)/x(x-2) + 16x(x-2)/x(x-2) =120x/x(x-2)
=>120(x-2) + 1x(x-2)=120x
<=>120x-240+16x^2-32x=120x
<=>16x^2-32x-240=0
<=>16(x^2-2x-15)=0
<=>16(x-5)(x+3)
<=> x=5 (thỏa mãn điều kiện) hoặc x =-3(ko thỏa mãn điều kiện)
Vậy ta được số xe của đội là 5 chiếc
Hãy giúp mọi người biết câu trả lời này thế nào?
Bảng tin