

Hãy luôn nhớ cảm ơn và vote 5*
nếu câu trả lời hữu ích nhé!
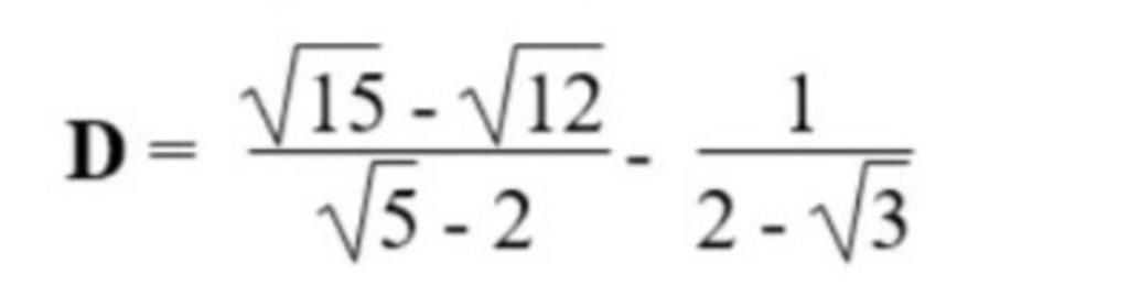
$\begin{array}{l} \dfrac{{\sqrt {15} - \sqrt {12} }}{{\sqrt 5 - 2}} - \dfrac{1}{{2 - \sqrt 3 }}\\ = \dfrac{{\sqrt {5.3} - \sqrt {4.3} }}{{\sqrt 5 - 2}} - \dfrac{{\left( {2 + \sqrt 3 } \right)}}{{\left( {2 - \sqrt 3 } \right)\left( {2 + \sqrt 3 } \right)}}\\ = \dfrac{{\sqrt 3 \left( {\sqrt 5 - 2} \right)}}{{\sqrt 5 - 2}} - \dfrac{{2 + \sqrt 3 }}{{4 - 3}}\\ = \sqrt 3 - \left( {2 + \sqrt 3 } \right) = - 2 \end{array}$
Hãy giúp mọi người biết câu trả lời này thế nào?

Bảng tin
132
6919
107
Cho mk hỏi (2 + √3) / (4 - 3) ở đâu ra v??
4887
85662
5136
trục căn thức ở mẫu bạn ạ. nhân cả tử và mẫu với (2+căn3)