Vui lòng chỉ chọn một câu hỏi
Hoidap247.com Nhanh chóng, chính xác
+
Danh mục mới
5
-12
1
Hãy luôn nhớ cảm ơn và vote 5* nếu câu trả lời hữu ích nhé!
5767
136700
6922
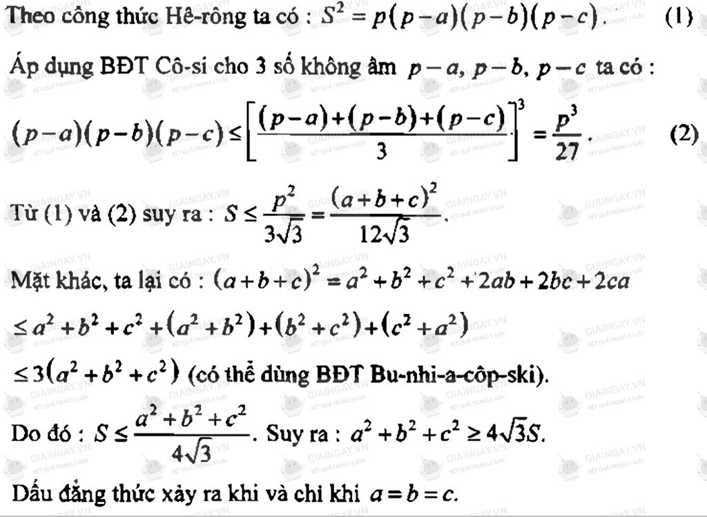
Đáp án:
Giải thích các bước giải:
Hãy giúp mọi người biết câu trả lời này thế nào?
Mờ quá chụp lại đc ko
3479
66023
3070
Bảng tin
Gửi yêu cầu Hủy
5
-12
1
Mờ quá chụp lại đc ko