

Hãy luôn nhớ cảm ơn và vote 5*
nếu câu trả lời hữu ích nhé!

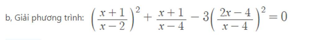
Đáp án:
\[\left[ \begin{array}{l}
x = 3\\
x = \frac{4}{5}
\end{array} \right.\]
Giải thích các bước giải:
Ta có:
\(\begin{array}{l}
DK:\,\,\,\left\{ \begin{array}{l}
x \ne 2\\
x \ne 4
\end{array} \right.\\
{\left( {\frac{{x + 1}}{{x - 2}}} \right)^2} + \frac{{x + 1}}{{x - 4}} - 3{\left( {\frac{{2x - 4}}{{x - 4}}} \right)^2} = 0\\
\Leftrightarrow {\left( {\frac{{x + 1}}{{x - 2}}} \right)^2} + \left( {\frac{{x + 1}}{{x - 2}}} \right).\left( {\frac{{x - 2}}{{x - 4}}} \right) - 12.{\left( {\frac{{x - 2}}{{x - 4}}} \right)^2} = 0\\
\Leftrightarrow \left( {\frac{{x + 1}}{{x - 2}} + 4.\frac{{x - 2}}{{x - 4}}} \right)\left( {\frac{{x + 1}}{{x - 2}} - 3.\frac{{x - 2}}{{x - 4}}} \right) = 0\\
\Leftrightarrow \left[ \begin{array}{l}
\frac{{x + 1}}{{x - 2}} + 4.\frac{{x - 2}}{{x - 4}} = 0\\
\frac{{x + 1}}{{x - 2}} - 3.\frac{{x - 2}}{{x - 4}} = 0
\end{array} \right.\\
\Leftrightarrow \left[ \begin{array}{l}
\frac{{x + 1}}{{x - 2}} = - 4\frac{{x - 2}}{{x - 4}}\\
\frac{{x + 1}}{{x - 2}} = 3.\frac{{x - 2}}{{x - 4}}
\end{array} \right.\\
\Leftrightarrow \left[ \begin{array}{l}
\left( {x + 1} \right)\left( {x - 4} \right) = - 4{\left( {x - 2} \right)^2}\\
\left( {x + 1} \right)\left( {x - 4} \right) = 3{\left( {x - 2} \right)^2}
\end{array} \right.\\
\Leftrightarrow \left[ \begin{array}{l}
{x^2} - 3x - 4 = - 4{x^2} + 16x - 16\\
{x^2} - 3x - 4 = 3{x^2} - 12x + 12
\end{array} \right.\\
\Leftrightarrow \left[ \begin{array}{l}
5{x^2} - 19x + 12 = 0\\
2{x^2} - 9x + 16 = 0
\end{array} \right.\\
\Leftrightarrow \left[ \begin{array}{l}
x = 3\\
x = \frac{4}{5}
\end{array} \right.
\end{array}\)
Hãy giúp mọi người biết câu trả lời này thế nào?
Đáp án:
Giải thích các bước giải:
cum39046@bcooq.com
Hãy giúp mọi người biết câu trả lời này thế nào?
Bảng tin
3
40
0
đoạn suy ra thứ hai sao ko hiểu lắm
40
14152
68
cho mk hỏi làm sao câu tính ra đc x=3 và x=4/5 thế