Đăng nhập để hỏi chi tiết


Hãy luôn nhớ cảm ơn và vote 5*
nếu câu trả lời hữu ích nhé!
Đáp án + Giải thích các bước giải:
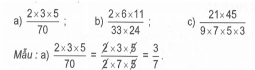
a)
`(2xx3xx5)/70=(2xx3xx5)/(2xx5xx7)=3/7`
b)
`(2xx6xx11)/(33xx24)=(2xx6xx11)/(11xx3xx2xx2xx6)=1/(3xx2)=1/6`
c)
`(21xx45)/(9xx7xx5xx3)=(3xx7xx5xx9)/(9xx7xx5xx3)=1`
NL: Không được gạch mấy cái số như mẫu, họ trừ điểm đó!
Hãy giúp mọi người biết câu trả lời này thế nào?

#Mon
[Học tốt ạ]
[Ghi vội]
[Gạch thì nên gạch ở nháp ạ^^]
[Đây chỉ là tham khảo thoi:P]
$\text{@M - H}$
Hãy giúp mọi người biết câu trả lời này thế nào?

Bảng tin
0
27
0
Thanks nha
4492
94
3179
nhj