

Hãy luôn nhớ cảm ơn và vote 5*
nếu câu trả lời hữu ích nhé!
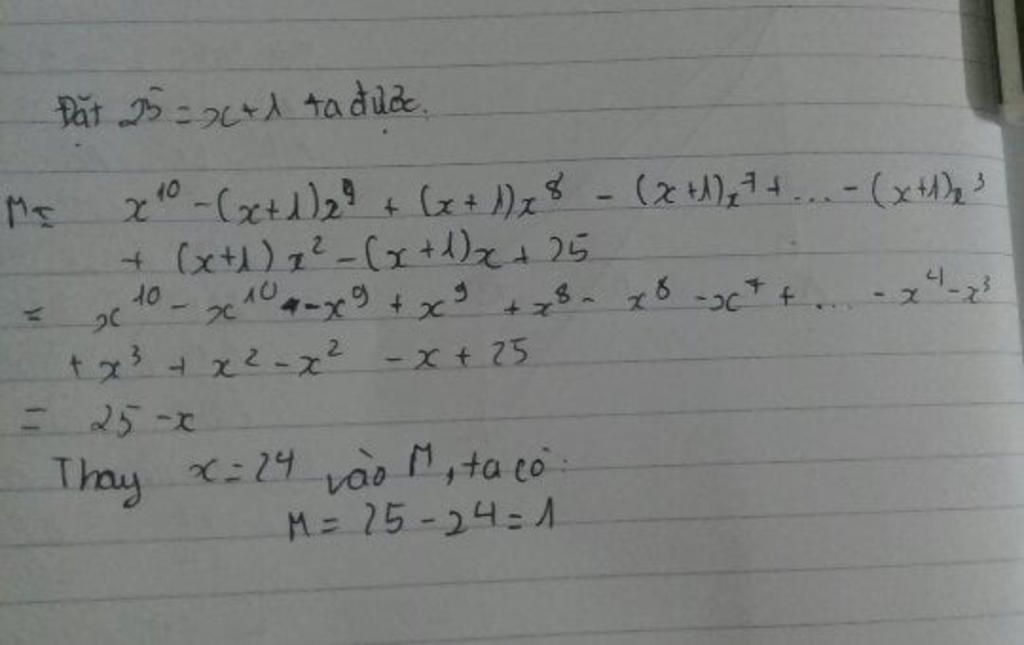
Đáp án:
`M = x^10 - 25x^9 + 25x^8 - 25x^7 + ........... - 25x^3 + 25x^2 - 25x + 25`
` = x^10 - 24x^9 + x^9 - 24x^8 + x^ 8 - .............. - 24x²+ x² -24x -x + 25`
`text{ Thay x = 24 vào biểu thức M , ta được:}`
`M = 24^10 - 24 . 24^9 + 24^9 - 24 . 24^ 8 - ........... - 24 . 24^2 + 24^2 - 24 . 24 - 24 + 25`
` =24^10 - 24^10 + 24^9 - 24^ 9 - .............. - 24^3 + 24^2 - 24^2 - 24 + 25`
` =(24^10 - 24^10) + (24^9 - 24^9) - ............. + (24^2 - 24^2) - 24 + 25`
` = 0 + 0 - ........... + 0 - 24 + 25`
` = -24 + 25 = 1`
Vậy `M = 1` tại `x = 24`
Hãy giúp mọi người biết câu trả lời này thế nào?

Bảng tin