

Hãy luôn nhớ cảm ơn và vote 5*
nếu câu trả lời hữu ích nhé!
Đáp án + Giải thích các bước giải:
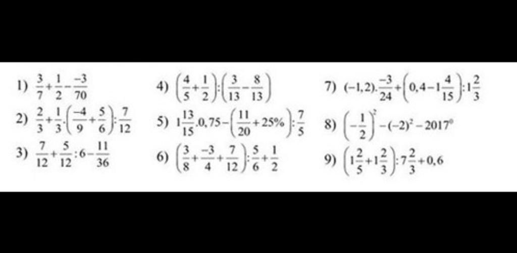
`1)` `3/7 + 1/2 - (-3)/70`
`= 30/70 + 35/70 + 3/70`
`= 65/70 + 3/70`
`= 68/10 = 34/35`
`2)` `2/3 + 1/3. ((-4)/9 + 5/6) : 7/12`
`= 2/3 + 1/3. ((-8)/18 + 15/18) : 7/12`
`= 2/3 + 1/3 . 7/18 : 7/12`
`= 2/3 + 7/54 : 7/12`
`= 2/3 + 7/54 . 12/7`
`= 2/3 + 2/9`
`= 12/18 + 4/18`
`= 16/18 = 8/9`
`3)` `7/12 + 5/12 : 6 - 11/36`
`= 7/12 + 5/12 . 1/6 - 11/36`
`= 7/12 + 5/72 - 11/36`
`= 42/72 + 5/72 + (-22)/72`
`= 47/72 + (-22)/72`
`= 25/72`
`4)` `(4/5 + 1/2) : (3/13 - 8/13)`
`= (8/10 + 5/10) : (3/13 + (-8)/13)`
`= 13/10 : (-5)/13`
`= 13/10 . (-13)/5`
`= (-169)/50`
`5)` `1 13/15 . 0,75 - (11/20 + 25%) : 7/5`
`= 28/15 . 3/4 - (11/20 + 1/4) : 7/5`
`= 7/5 - (11/20 + 5/20) : 7/5`
`= 7/5 - 8/10 : 7/5`
`= 7/5 - 8/10 . 5/7`
`= 7/5 - 4/7`
`= 49/35 + (-20)/35`
`= 29/35`
`6)` `(3/8 + (-3)/4 + 7/12) : 5/6 + 1/2`
`= (9/24 + (-18)/24 + 14/24) : 5/6 + 1/2`
`= ((-9)/24 + 14/24) : 5/6 + 1/2`
`= 5/24 . 6/5 + 1/2`
`= 1/4 + 1/2`
`= 1/4 + 2/4`
`= 3/4`
`7)` `(-1,2) . (-3)/24 + (0,4 - 1 4/15) : 1 2/3`
`= (-6)/5 . (-3)/24 + (2/5 - 19/15) : 5/3`
`= 3/20 + (6/15 + (-19)/15) : 5/3`
`= 3/20 + (-13)/15 . 3/5`
`= 3/20 + (-13)/25`
`= 15/100 + (-52)/100`
`= (-37)/100`
`8)` `(-1/2)^2 - (-2)^2 - 2017^0`
`= 1/4 + 4 - 1`
`= 1/4 + 16/4 + (-4)/4`
`= 17/4 + (-4)/4`
`= 13/4`
`9)` `(1 2/5 + 1 2/3) : 7 2/3 + 0,6`
`= (7/5 + 5/3) : 23/3 + 3/5`
`= (21/15 + 25/15) : 23/3 + 3/5`
`= 46/15 . 3/23 + 3/5`
`= 2/5 + 3/5`
`= 5/5 = 1`
CHÚC BẠN HỌC TỐT!
Hãy giúp mọi người biết câu trả lời này thế nào?

1 số phép tính mình bỏ qua 1 số bước cho ngắn bạn ko hiểu chỗ nào thì nói ,đổi dấu lên tử,rút gọn luôn nhé và ko viết lại đề bài
Giải thích các bước giải:
1)13/14-(-3)/70
=68/70
=34/35
2)2/3+1/3×7/18÷7/12
=2/3+7/54÷7/12
=2/3+6/27
=24/27
3)7/12+5/72-11/36
=47/72-11/36
=26/72
4)13/10÷(-5)/13
=-169/50
5)28/15×3/4-4/5÷7/5
=7/5-4/7
=29/35
6)5/24÷5/6+1/2
=1/4+1/2
=3/4
7)-6/5×(-3)/24+5/3÷5/3
=-3/20+1
=-3/20
8)1/4-4-1
=-15/4-1
=-19/4
9)46/15÷23/3+3/5
=2/5+3/5
=1
Hãy giúp mọi người biết câu trả lời này thế nào?
Bảng tin