

Hãy luôn nhớ cảm ơn và vote 5*
nếu câu trả lời hữu ích nhé!
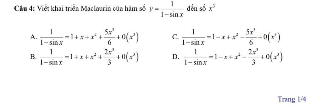
Đáp án:
$A.\ 1 + x + x^2 +\dfrac{5x^3}{6}+ 0(x^3)$
Giải thích các bước giải:
$\quad y = f(x)=\dfrac{1}{1-\sin x}$
Ta có:
$+)\quad f(0)= 1$
$+)\quad f'(x)= \dfrac{\cos x}{(1-\sin x)^2}\Rightarrow f'(0)= 1$
$+)\quad f''(x)= \dfrac{2\cos^2x -\sin x + \sin^2}{(1-\sin x)^3}\Rightarrow f''(0)= 2$
$+)\quad f'''(x)= \dfrac{\cos x(5\sin^2x-4\sin x + 6\cos^2x -1)}{(1-\sin x)^4}\Rightarrow f'''(0)= 5$
Ta được:
$f(x)= f(0) + \dfrac{f'(0)}{1!}x + \dfrac{f''(0)}{2!}x^2 + \dfrac{f'''(0)}{3!}x^3 + 0(x^3)$
$\Leftrightarrow \dfrac{1}{1-\sin x}= 1 + x + x^2 +\dfrac{5x^3}{6}+ 0(x^3)$
Hãy giúp mọi người biết câu trả lời này thế nào?

Đáp án:
$A$
Giải thích các bước giải:
Ta có:
Công thức KT Maclaurin của hàm số $y$ đến $x^3$
$y = y\left( 0 \right) + y'\left( 0 \right).x + \dfrac{{y''\left( 0 \right)}}{{2!}}.{x^2} + \dfrac{{y'''\left( 0 \right)}}{{3!}}.{x^3} + o\left( {{x^3}} \right)\left( * \right)$
Khi đó:
$\begin{array}{l}
+ )y = \dfrac{1}{{1 - \sin x}} \Rightarrow y\left( 0 \right) = 1\\
+ )y' = \dfrac{{ - \left( {1 - \sin x} \right)'}}{{{{\left( {1 - \sin x} \right)}^2}}} = \dfrac{{\cos x}}{{{{\left( {1 - \sin x} \right)}^2}}}\\
\Rightarrow y'\left( 0 \right) = 1\\
+ )y'' = \dfrac{{ - \sin x{{\left( {1 - \sin x} \right)}^2} - \cos x.2\left( {1 - \sin x} \right).\left( { - \cos x} \right)}}{{{{\left( {1 - \sin x} \right)}^4}}}\\
= \dfrac{{ - \sin x\left( {1 - \sin x} \right) + 2{{\cos }^2}x}}{{{{\left( {1 - \sin x} \right)}^3}}}\\
= \dfrac{{1 - \sin x + {{\cos }^2}x}}{{{{\left( {1 - \sin x} \right)}^3}}}\\
\Rightarrow y''\left( 0 \right) = 2\\
+ )y''' = \dfrac{{\left( { - \cos x + 2\cos x.\left( { - \sin x} \right)} \right){{\left( {1 - \sin x} \right)}^3} - \left( {1 - \sin x + {{\cos }^2}x} \right).3{{\left( {1 - \sin x} \right)}^2}.\left( { - \cos x} \right)}}{{{{\left( {1 - \sin x} \right)}^6}}}\\
= \dfrac{{\left( { - \cos x - 2\sin x\cos x} \right)\left( {1 - \sin x} \right) + 3\cos x\left( {1 - \sin x + {{\cos }^2}x} \right)}}{{{{\left( {1 - \sin x} \right)}^4}}}\\
= \dfrac{{ - \cos x - 2\sin x\cos x + \sin x\cos x + 2{{\sin }^2}x\cos x + 3\cos x - 3\sin x\cos x + 3{{\cos }^3}x}}{{{{\left( {1 - \sin x} \right)}^4}}}\\
= \dfrac{{2\cos x - 4\sin x\cos x + 2{{\sin }^2}x\cos x + 3{{\cos }^3}x}}{{{{\left( {1 - \sin x} \right)}^4}}}\\
\Rightarrow y'''\left( 0 \right) = 5
\end{array}$
Thay các hệ số vào $(*)$ ta có khai triển của hàm số như sau: $y = 1 + x + {x^2} + \dfrac{5}{6}{x^3} + o\left( {{x^3}} \right)$
Hãy giúp mọi người biết câu trả lời này thế nào?
Bảng tin