

Hãy luôn nhớ cảm ơn và vote 5*
nếu câu trả lời hữu ích nhé!

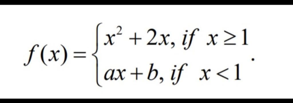
Đáp án:
$\left\{\begin{array}{l} a=4\\b=-1\end{array} \right.$
Giải thích các bước giải:
Hiển nhiên $f(x)$ khả vi tại mọi điểm khác $x=1$
Cần tìm $a,b$ để hàm số khả vi tại $x=1$
Để hàm số khả vi tại $x=1$
$\left\{\begin{array}{l} \displaystyle\lim_{x \to 1^+} f(x)=\displaystyle\lim_{x \to 1^-} f(x)\\f'(1^+)=f'(1^-)\end{array} \right.\\ \Leftrightarrow \left\{\begin{array}{l} 3=a+b\\4=a\end{array} \right.\\ \Leftrightarrow \left\{\begin{array}{l} a=4\\b=-1\end{array} \right.$
Hãy giúp mọi người biết câu trả lời này thế nào?
Bảng tin
53468
3081
53026
Khả vi là có đạo hàm à anh ._______.
13639
103524
9197
Um._.