

Hãy luôn nhớ cảm ơn và vote 5*
nếu câu trả lời hữu ích nhé!

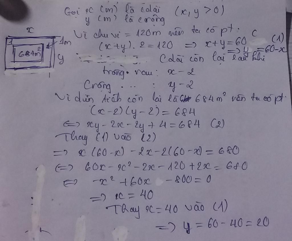
Đáp án:
Chiều dài: $40m$
Chiều rộng: $20m$
Giải thích các bước giải:
Gọi chiều dài, chiều rộng khu đất là $a, b(a\ge b>0)$
$\to 2(a+b)=120$
$\to a+b=60$
$\to b=60-a$
Vì người ta trồng luống rau $1m$ xung quanh mảnh vườn
$\to$Chiều dài, chiều rộng khu đất còn lại là $a-1\cdot 2, b-1\cdot 2$ hay $a-2, b-2$
$\to (a-2)(b-2)=684$
$\to ab-2(a+b)+4=684$
$\to ab-120+4=684$
$\to ab=800$
$\to a(60-a)=800$
$\to a\in\{20, 40\}$
$\to b\in\{40,20\}$
Vì $a\ge b$
$\to a=40, b=20$
Hãy giúp mọi người biết câu trả lời này thế nào?

Bảng tin