Đăng nhập để hỏi chi tiết


Hãy luôn nhớ cảm ơn và vote 5*
nếu câu trả lời hữu ích nhé!
Đáp án:
Giải thích các bước giải:
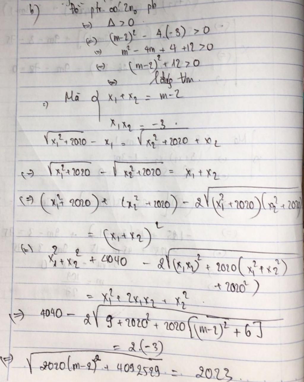
b,
căn x1^2 +2020 - căn x2^2 +2020= x2 + x1
=> x1^2 + 2020 -2 căn (x1^2 +2020).(x2^2 +2020) + x2^2 +2020 = ( x2 +x1)^2
=> x1^2 + x2^2 + 4040- 2căn (x1x2)^2 + 2020(x1^2+ x2^2) +2020^2 = ( x1 +x2)^2
=> (x1 + x2)^2 -2x1x2 + 4040- 2căn (x1x2)^2 + 2020(x1+x2)^2-2x1x2 + 2020^2 = ( x1 + x2)^2
thay viet vào là ra nha
Hãy giúp mọi người biết câu trả lời này thế nào?
Bảng tin