

Hãy luôn nhớ cảm ơn và vote 5*
nếu câu trả lời hữu ích nhé!
Đáp án:
em tham khảo
Giải thích các bước giải:
4 bước :
-bước 1 : tìm điều kiện xác định
-bước 2 : biến đổi phương trình về dạng đã học
-bước 3 : giải pt vừa tìm
-bước 4 : đối chiều điều kiện rồi kết luận nghiệm
5 cách :
-cách 1: nâng lên cùng một lũy thừa ở cả hai vế.
-cách 2: đặt ẩn phụ.
-cách 3: sử dụng biểu thức liên hợp, đánh giá.
-cách 4: dùng bất đẳng thức
-cách 5: đoán nghiệm, chứng minh nghiệm duy nhất
Hãy giúp mọi người biết câu trả lời này thế nào?
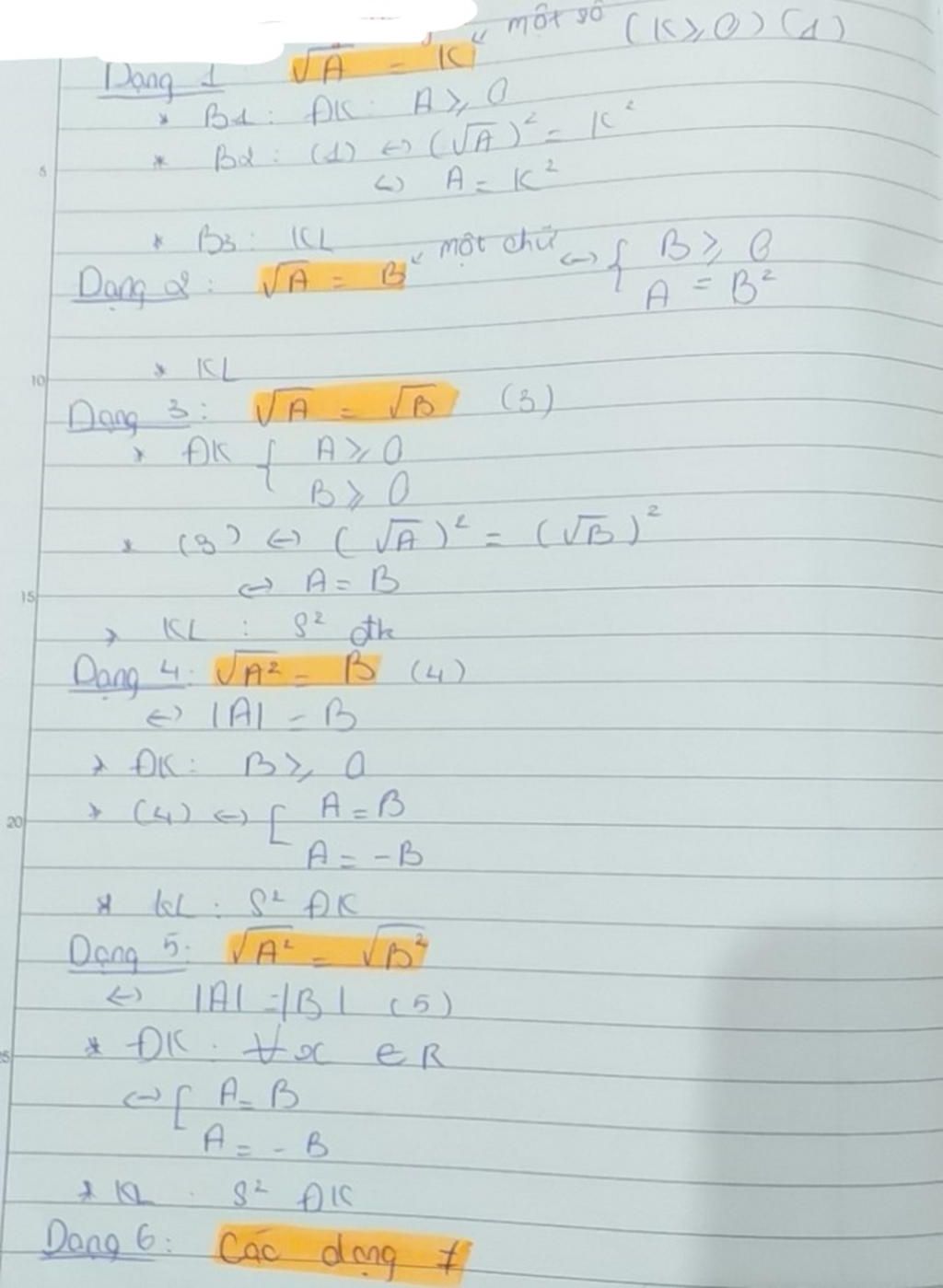
Bạn xem hình nhé
Các dạng bài khác thì biến đổi về những dạng trên
Hãy giúp mọi người biết câu trả lời này thế nào?
Bảng tin
1085
1797
1061
bạn lớp mấy nhỉ =))?
628
15893
617
12 nha
1085
1797
1061
gk3,cho em xin vài cách giải dạng bài amin , ancol, este,axit cacboxylic được không ạ.-.
628
15893
617
hóa hử