

Hãy luôn nhớ cảm ơn và vote 5*
nếu câu trả lời hữu ích nhé!

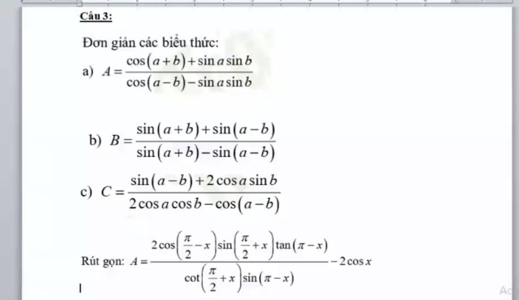
Đáp án:
$\begin{array}{l}
A = \dfrac{{\cos \left( {a + b} \right) + \sin a.\sin b}}{{\cos \left( {a - b} \right) - \sin a.\sin b}}\\
= \dfrac{{\cos a.\cos b - \sin a.\sin b + \sin a.\sin b}}{{\cos a.\cos b + \sin a.\sin b - \sin a.\sin b}}\\
= \dfrac{{\cos a.\cos b}}{{\cos a.\cos b}}\\
= 1\\
B = \dfrac{{\sin \left( {a + b} \right) + \sin \left( {a - b} \right)}}{{\sin \left( {a + b} \right) - \sin \left( {a - b} \right)}}\\
= \dfrac{{\sin a.\cos b + \cos a.\sin b + \sin a.\cos b - \cos a.\sin b}}{{\sin a.\cos b + \cos a.\sin b - \left( {\sin a.\cos b - \cos a.\sin b} \right)}}\\
= \dfrac{{2\sin a.\cos b}}{{2\cos a.\sin b}}\\
= \tan a.\cot b\\
C = \dfrac{{\sin \left( {a - b} \right) + 2\cos a.\sin b}}{{2\cos a.\cos b - \cos \left( {a - b} \right)}}\\
= \dfrac{{\sin a.\cos b - \cos a.\sin b + 2\cos a.\sin b}}{{2\cos a.\cos b - \cos a.\cos b - \sin a.\sin b}}\\
= \dfrac{{\sin a.\cos b + \cos a.\sin b}}{{\cos a.\cos b - \sin a.\sin b}}\\
= \dfrac{{\sin \left( {a + b} \right)}}{{\cos \left( {a + b} \right)}}\\
= \tan \left( {a + b} \right)
\end{array}$
Hãy giúp mọi người biết câu trả lời này thế nào?
Bảng tin
0
896
0
Mình cảm ơn ạ ❤