Vui lòng chỉ chọn một câu hỏi
Hoidap247.com Nhanh chóng, chính xác
+
Danh mục mới
0
20
Hãy luôn nhớ cảm ơn và vote 5* nếu câu trả lời hữu ích nhé!
4182
389
2739
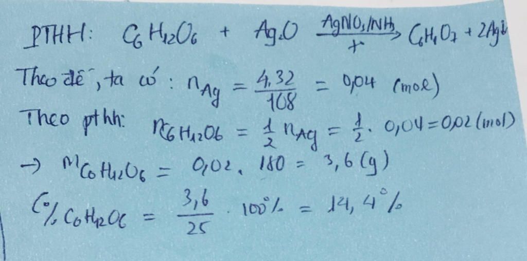
Đáp án:
Giải thích các bước giải:
nAg=4,32:108=0,04 mol
C6h12o6+ag2o-->c6h12o7+2ag
mol : 0,02 0,04
mC6h12o6=0,02.180=3,6 gam
C% dd c6h12o6=(3,6:25).100%=14,4%
Hãy giúp mọi người biết câu trả lời này thế nào?
Xem thêm:
422
5130
280
Bảng tin
Gửi yêu cầu Hủy