Vui lòng chỉ chọn một câu hỏi
Hoidap247.com Nhanh chóng, chính xác
+
Danh mục mới
1
161
0
Hãy luôn nhớ cảm ơn và vote 5* nếu câu trả lời hữu ích nhé!
53468
3081
52917
Hơi gạch xoá tí.
Hãy giúp mọi người biết câu trả lời này thế nào?
10599
102337
7973
Hình như sai rồi anh ơi
Sai chỗ nào ấy .-.
Anh làm tắt quá nên em không thấy được -_-
Ko sao đâu ạ em nhìn được
Xem thêm:
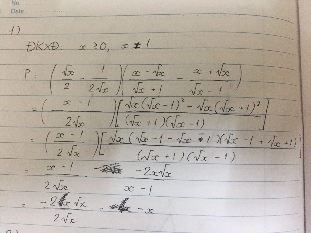
Đáp án: Trong hình
Giải thích các bước giải:
Bảng tin
Gửi yêu cầu Hủy
10599
102337
7973
Hình như sai rồi anh ơi
53468
3081
52917
Sai chỗ nào ấy .-.
10599
102337
7973
Anh làm tắt quá nên em không thấy được -_-
1
161
0
Ko sao đâu ạ em nhìn được