Đăng nhập để hỏi chi tiết


Hãy luôn nhớ cảm ơn và vote 5*
nếu câu trả lời hữu ích nhé!
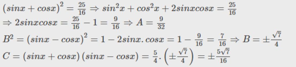
(sinx+cosx)2=25/16⇒sin2x+cos2x+2sinxcosx=2516(sinx+cosx)2=2516⇒sin2x+cos2x+2sinxcosx=2516
⇒2sinxcosx=2516−1=916⇒A=932⇒2sinxcosx=2516−1=916⇒A=932
B2=(sinx−cosx)2=1−2sinx.cosx=1−916=716⇒B=±√74B2=(sinx−cosx)2=1−2sinx.cosx=1−916=716⇒B=±74
C=(sinx+cosx)(sinx−cosx)=54.(±√74)=±5√716
Hãy giúp mọi người biết câu trả lời này thế nào?

Bảng tin
54
1973
26
sao lại ra tận 2516 vậy?
273
3701
372
phần bn ơi