Đăng nhập để hỏi chi tiết


Hãy luôn nhớ cảm ơn và vote 5*
nếu câu trả lời hữu ích nhé!
Đáp án:
Giải thích các bước giải:
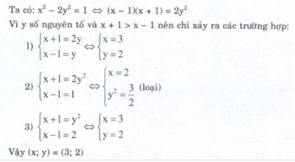
Ta có:x2-2y2=1
⇒⇒x2-1=2y2 (1)
+, x3. Mà x là số nguyên tố nên x=3 thì từ (1)
y=2
+, x3 hay x2-1 3 do đó 2y23.Mà (2,3)=1 nên
y3.Do y nguyên tố nên y=3, khi đó x2=19 (loại)
Vậy cặp số (x;y) duy nhất thỏa mãn điều kiện của đề bài là (2;3)
Hãy giúp mọi người biết câu trả lời này thế nào?
Bảng tin