Đăng nhập để hỏi chi tiết


Hãy luôn nhớ cảm ơn và vote 5*
nếu câu trả lời hữu ích nhé!
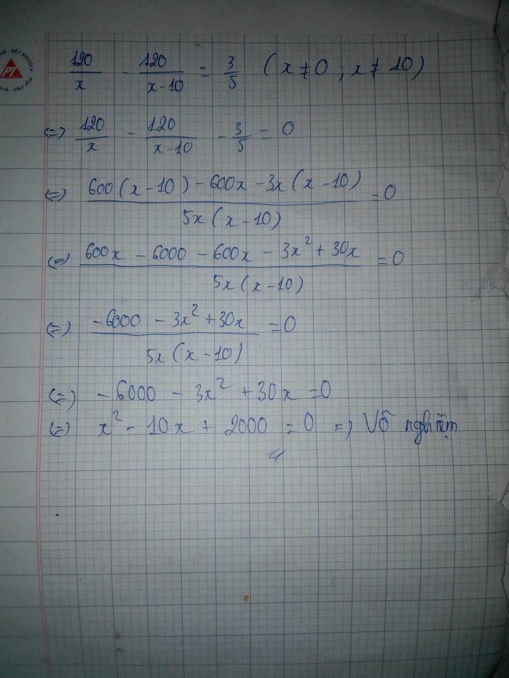
`120/x-120/(x-10)=3/5(x ne0; x ne10)`
`<=>120/x-120/(x-10)-3/5=0`
`<=>(600(x-10)-600x-3x(x-10))/(5x(x-10))=0`
`<=>(600x-6000-600x-3x^2+30x)/(5x(x-10))=0`
`<=>(-6000-3x^2+30x)/(5x(x-10))=0`
`<=>-6000-3x^2+30x=0`
`<=>x^2-10x+2000=0`
`=>` Vô nghiệm
Hãy giúp mọi người biết câu trả lời này thế nào?
Đáp án:
Giải thích các bước giải:
Gửi b đáp án nè đúng đó
Hãy giúp mọi người biết câu trả lời này thế nào?
Bảng tin