Đăng nhập để hỏi chi tiết


Hãy luôn nhớ cảm ơn và vote 5*
nếu câu trả lời hữu ích nhé!
Đáp án:
Giải thích các bước giải:
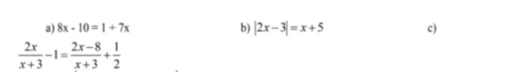
a)8x-10=1+7x
<=> 8x-7x=1+10
<=> x=11
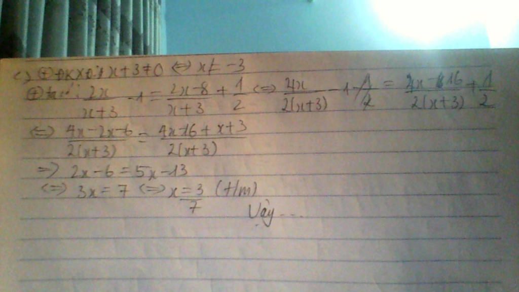
c) 2x/ (x+3)-1=(2x-8)/(x+3)+1/2
<=> 2x.2/ (x+3).2-1.(x+3).2=(2x-8).2/(x+3).2+1(x+3)/2(x+3)
<=>4x-2x-6=4x-16+x+3
<=> 4x-2x-4x-x=-16+3+6
<=>-3x=-7
<=> x=7/3
Hãy giúp mọi người biết câu trả lời này thế nào?
Bảng tin