

Hãy luôn nhớ cảm ơn và vote 5*
nếu câu trả lời hữu ích nhé!
Giải thích các bước giải:
Gọi Δ là đường cần tìm, thì Δ=(P)∩(Q);
Trong đó (P) là mặt phẳng chứa d2 và (P) // d1
(Q) là mặt phẳng chứa d3 và (Q) // d1
d1,d2,d3 lần lượt có các vectơ chỉ phương là: u1→=(0,4,-1),u2 →=(1,4,3),u3 →=(5,9,1)
Ta viết được phương trình mp(P) là: 16x-y-4z-10=0
Phương trình mp(Q) là: 13x-5y-20z+17=0
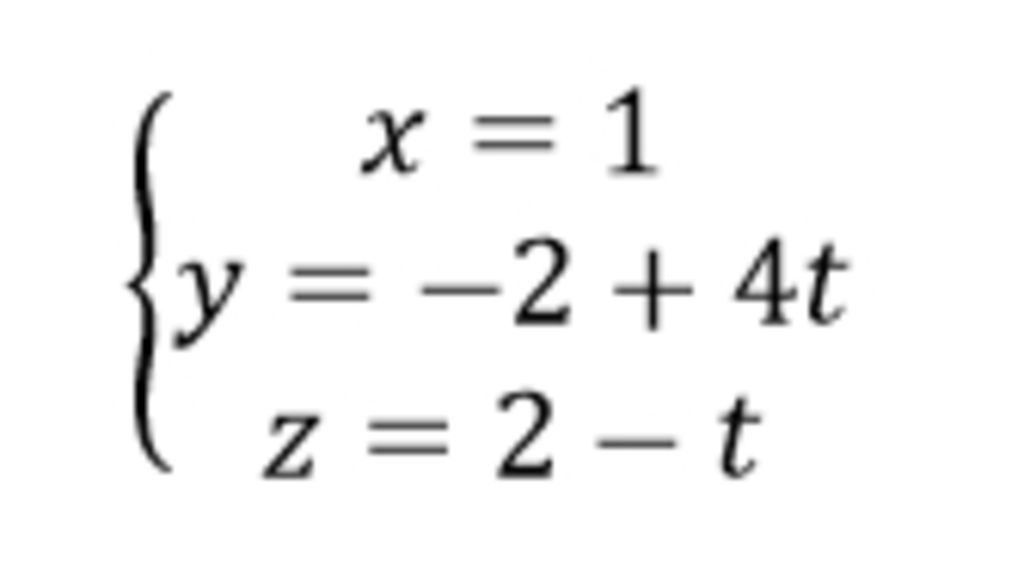
Vậy phương trình của Δ là:
$\left \{ {{16x-y-4z-10=0} \atop {13x-5y-20z+17=0}} \right.$
hay Δ có phương trình tham số là:
Hãy giúp mọi người biết câu trả lời này thế nào?

Bảng tin
4
19
3
thank
4
19
3
giúp mình với một câu nữa nha