

Hãy luôn nhớ cảm ơn và vote 5*
nếu câu trả lời hữu ích nhé!

Đây là câu trả lời đã được xác thực
Câu trả lời được xác thực chứa thông tin chính xác và đáng tin cậy, được xác nhận hoặc trả lời bởi các chuyên gia, giáo viên hàng đầu của chúng tôi.
1)
$3\dfrac{1}{3} + 2 \dfrac{1}{5} =\dfrac{3\times3+1}{3}+\dfrac{2\times5+1}{5}$
$=\dfrac{10}{3}+\dfrac{11}{5}=\dfrac{50}{15}+\dfrac{33}{15}=\dfrac{83}{15}$
$4\dfrac{ 3}{4} - 2\dfrac{ 2}{5}=\dfrac{4\times4+3}{4}-\dfrac{2\times5+2}{5}$
$=\dfrac{19}{4}-\dfrac{12}{5}=\dfrac{94}{20}-\dfrac{48}{20}=\dfrac{47}{20}$
$\dfrac{5}{6}\times\dfrac{2}{7}=\dfrac{5\times2}{6\times2}=\dfrac{5\times2}{3\times2\times7}=\dfrac{5}{3\times7}=\dfrac{5}{21}$
$3\dfrac{ 1}{3} : 2\dfrac{ 3}{5}=\dfrac{3\times3+1}{3}:\dfrac{2\times5+3}{5}=\dfrac{10}{3}:\dfrac{13}{5}$
$=\dfrac{10}{3}\times\dfrac{5}{13}=\dfrac{10\times5}{3\times3}=\dfrac{50}{39}$
2)
a) $ 216 \times 48 + 542 : 167$
b) $\dfrac{6}{5} +\dfrac{ 1}{3} \times \dfrac{2}{4} -\dfrac{ 3}{4}=\dfrac{6}{5} +\dfrac{ 1\times2}{3\times4} -\dfrac{ 3}{4}=\dfrac{6}{5} +\dfrac{ 1}{6} -\dfrac{ 3}{4}$
$=\dfrac{72}{60} +\dfrac{ 10}{60} -\dfrac{ 45}{60}=\dfrac{72+10-45}{60}=\dfrac{37}{60}$.
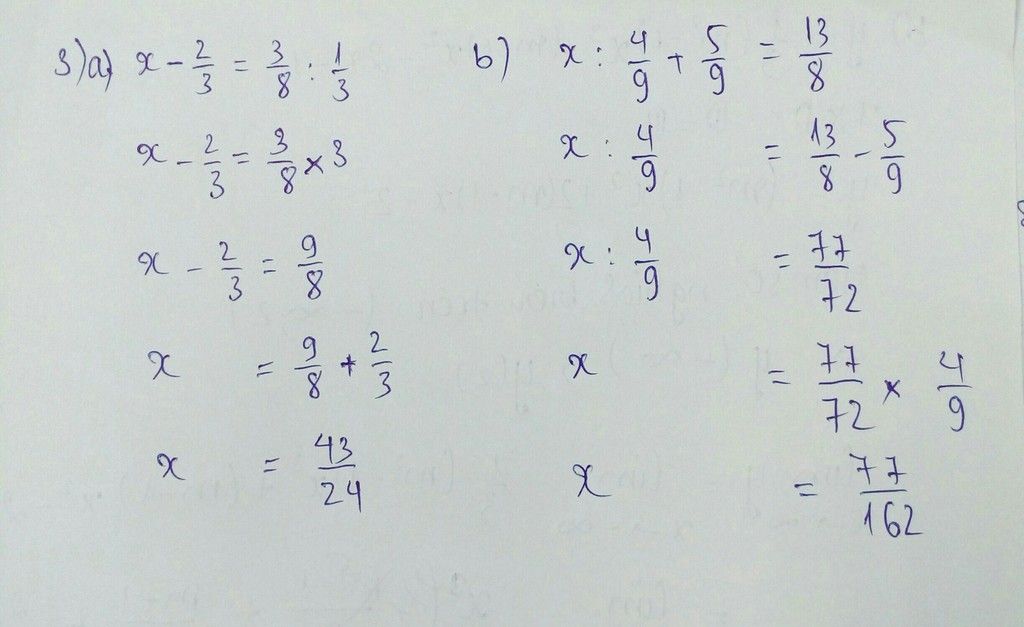
3)
a) $x-\dfrac{2}{3}=\dfrac{3}{8}:\dfrac{1}{3}$
$x-\dfrac23=\dfrac98$
$x=\dfrac98+\dfrac23$
$x=\dfrac{43}{24}$
b) $x:\dfrac{4}{9}+\dfrac{5}{9}=\dfrac{13}{8}$
$x:\dfrac49=\dfrac{13}8-\dfrac59$
$x:\dfrac49=\dfrac{77}{72}$
$x=\dfrac{77}{72}\times\dfrac49$
$x=\dfrac{77}{162}$
4)
Mua một quyển vở hết số tiền là:
$9000:3=3000$ (đồng)
Mua 5 quyển vở hết số tiền là:
$3000\times5=15000$ (đồng)
Đáp số: $15000$ đồng.
5)
Một người sửa đoạn đường đó hết số ngày là:
$3\times16=48$ (ngày)
Số người sửa đoạn đường trong 6 ngày hoàn thành là:
$48:6=8$ (người)
Đáp số: $8$ người.
Hãy giúp mọi người biết câu trả lời này thế nào?
`color{red}\text{@@?}`
`3 1/3 + 2 1/5 `
`= 10/3 + 11/5`
`= 50/15 + 33/15`
`= 83/15`
______________________
`4 3/4 - 2 2/5`
`= 19/4 - 12/5`
`= 95/20 - 48/20`
`=47/20`
_______________________
`5/6×2/7`
`= 10/42 = 5/21`
_________________________
`3 1/3 : 2 3/5`
`= 10/3 : 13 /5`
`= 10/3` x `5/13`
`= 50/39`
__________________________
`a. 216 × 48 + 542 : 167` ( sai đề )
__________________________________________
`b. 6/5 + 1/3 × 2/4 - 3/4`
`= 6/5 +1/6 - 3/4`
`= 6/5 +(-7/12)`
`= 37/60`
_________________________________________
`a.`
`x-2/3=3/8:1/3`
`x-2/3=9/8`
`x = 9/8 + 2/3`
`x = 43/24`
___________________________________________
`b.x:4/9+5/9=13/8`
`x:4/9 = 13 - 5/9`
`x:4/9 = 117/72 - 40/72`
`x:4/9 = 77/72`
`x = 77/72` x `4/9`
`x = 77/162`
____________________________________________
`text{Số tiền mua 1 quyển vở là :}`
`text{9000 : 3 = 3000 ( đồng )}`
`text{Số tiền mua 5 quyển vở hết là :}`
`text{3000 x 5 = 15000 ( đồng )}`
`text{Đáp số 15000 đồng}`
_________________________________________________
`text{Số ngày 1 người sửa hết đoạn đường là :}`
`text{3 x 16 = 48 ( ngày )}`
`text{Số người muốn sửa xong đoạn đường đó trong 6 ngày là :}`
`text{48 : 6 = 8 ( ngày )}`
`text{Đáp số 8 ngày}`
Hãy giúp mọi người biết câu trả lời này thế nào?
Bảng tin
29
989
16
Bài 5 đâu
29
989
16
Dạ bài 5 đâu ạ
3466
47162
5953
Bài 5 có trong lời giải r đó em.
1
21
1
K có bài 5