

Hãy luôn nhớ cảm ơn và vote 5*
nếu câu trả lời hữu ích nhé!

Giải thích các bước giải:
ĐKXĐ:$x,y\ne 0$
Ta có:
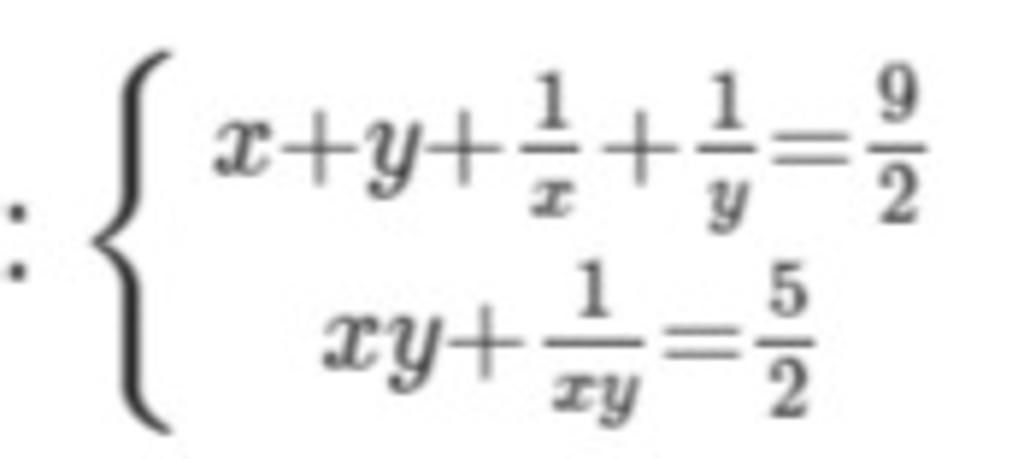
$\begin{array}{l}
\left\{ \begin{array}{l}
x + y + \dfrac{1}{x} + \dfrac{1}{y} = \dfrac{9}{2}\\
xy + \dfrac{1}{{xy}} = \dfrac{5}{2}
\end{array} \right.\\
\Leftrightarrow \left\{ \begin{array}{l}
x + y + \dfrac{{x + y}}{{xy}} = \dfrac{9}{2}\\
{\left( {xy} \right)^2} - \dfrac{5}{2}xy + 1 = 0
\end{array} \right.\\
\Leftrightarrow \left\{ \begin{array}{l}
\left( {x + y} \right)\left( {1 + \dfrac{1}{{xy}}} \right) = \dfrac{9}{2}\\
\left( {xy - 2} \right)\left( {xy - \dfrac{1}{2}} \right) = 0
\end{array} \right.\\
\Leftrightarrow \left\{ \begin{array}{l}
x + y = \dfrac{9}{2}.\dfrac{1}{{1 + \dfrac{1}{{xy}}}}\\
\left[ \begin{array}{l}
xy = 2\\
xy = \dfrac{1}{2}
\end{array} \right.
\end{array} \right.\\
\Leftrightarrow \left[ \begin{array}{l}
\left\{ \begin{array}{l}
xy = 2\\
x + y = 3
\end{array} \right.\left( I \right)\\
\left\{ \begin{array}{l}
xy = \dfrac{1}{2}\\
x + y = \dfrac{3}{2}
\end{array} \right.\left( {II} \right)
\end{array} \right.
\end{array}$
+) Giải hệ $(I)$
Ta có:
$\left\{ \begin{array}{l}
xy = 2\\
x + y = 3
\end{array} \right.\left( I \right)$
$\to x,y$ là nghiệm của phương trình: ${X^2} - 3X + 2 = 0 \Leftrightarrow \left( {X - 1} \right)\left( {X - 2} \right) = 0 \Leftrightarrow \left[ \begin{array}{l}
X = 1\\
X = 2
\end{array} \right.$
$ \Rightarrow \left[ \begin{array}{l}
x = 1;y = 2\\
x = 2;y = 1
\end{array} \right.$
$ \Rightarrow \left( {x;y} \right) \in \left\{ {\left( {1;2} \right);\left( {2;1} \right)} \right\}$
+) TH2: Giải hệ $(II)$
$\left\{ \begin{array}{l}
xy = \dfrac{1}{2}\\
x + y = \dfrac{3}{2}
\end{array} \right.\left( {II} \right)$
$\to x,y$ là nghiệm của phương trình: ${X^2} - \dfrac{3}{2}X + \dfrac{1}{2} = 0 \Leftrightarrow \left( {X - 1} \right)\left( {X - \dfrac{1}{2}} \right) = 0 \Leftrightarrow \left[ \begin{array}{l}
X = 1\\
X = \dfrac{1}{2}
\end{array} \right.$
$\begin{array}{l}
\Rightarrow \left[ \begin{array}{l}
x = 1;y = \dfrac{1}{2}\\
x = \dfrac{1}{2};y = 1
\end{array} \right.\\
\Rightarrow \left( {x;y} \right) \in \left\{ {\left( {1;\dfrac{1}{2}} \right);\left( {\dfrac{1}{2};1} \right)} \right\}
\end{array}$
Vậy hệ phương trình có tập nghiệm là: $S = \left\{ {\left( {1;\dfrac{1}{2}} \right);\left( {\dfrac{1}{2};1} \right);\left( {1;2} \right);\left( {2;1} \right)} \right\}$
Hãy giúp mọi người biết câu trả lời này thế nào?
Bảng tin