

Hãy luôn nhớ cảm ơn và vote 5*
nếu câu trả lời hữu ích nhé!
Đáp án:
$=0$
Giải thích các bước giải:
Ta có:
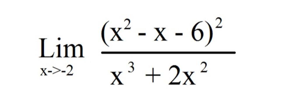
$\lim\limits_{x\to -2} \dfrac{(x^2-x-6)^2}{x^3+2x^2}$
$=\lim\limits_{x\to -2} \dfrac{(x-3)^2.(x+2)^2}{x^2(x+2)}$
$=\lim\limits_{x\to -2} \dfrac{(x-3)^2.(x+2)}{x^2}$
$=\dfrac{(2-3)^2.(-2+2)}{(-2)^2}$
$=0$
Hãy giúp mọi người biết câu trả lời này thế nào?
![]()
Đáp án:
Giải thích các bước giải:
$\lim _{x\to -2}(\dfrac{\left(x^2-x-6\right)}{x^3+2x^2}$
$=\lim _{x\to \:-2}(\dfrac{\left(x+2\right)\left(x-3\right)^2}{x^2})$
$=\dfrac{\left(-2+2\right)\left(-2-3\right)^2}{\left(-2\right)^2}$
`=0`
Hãy giúp mọi người biết câu trả lời này thế nào?
![]()
Bảng tin