

Hãy luôn nhớ cảm ơn và vote 5*
nếu câu trả lời hữu ích nhé!
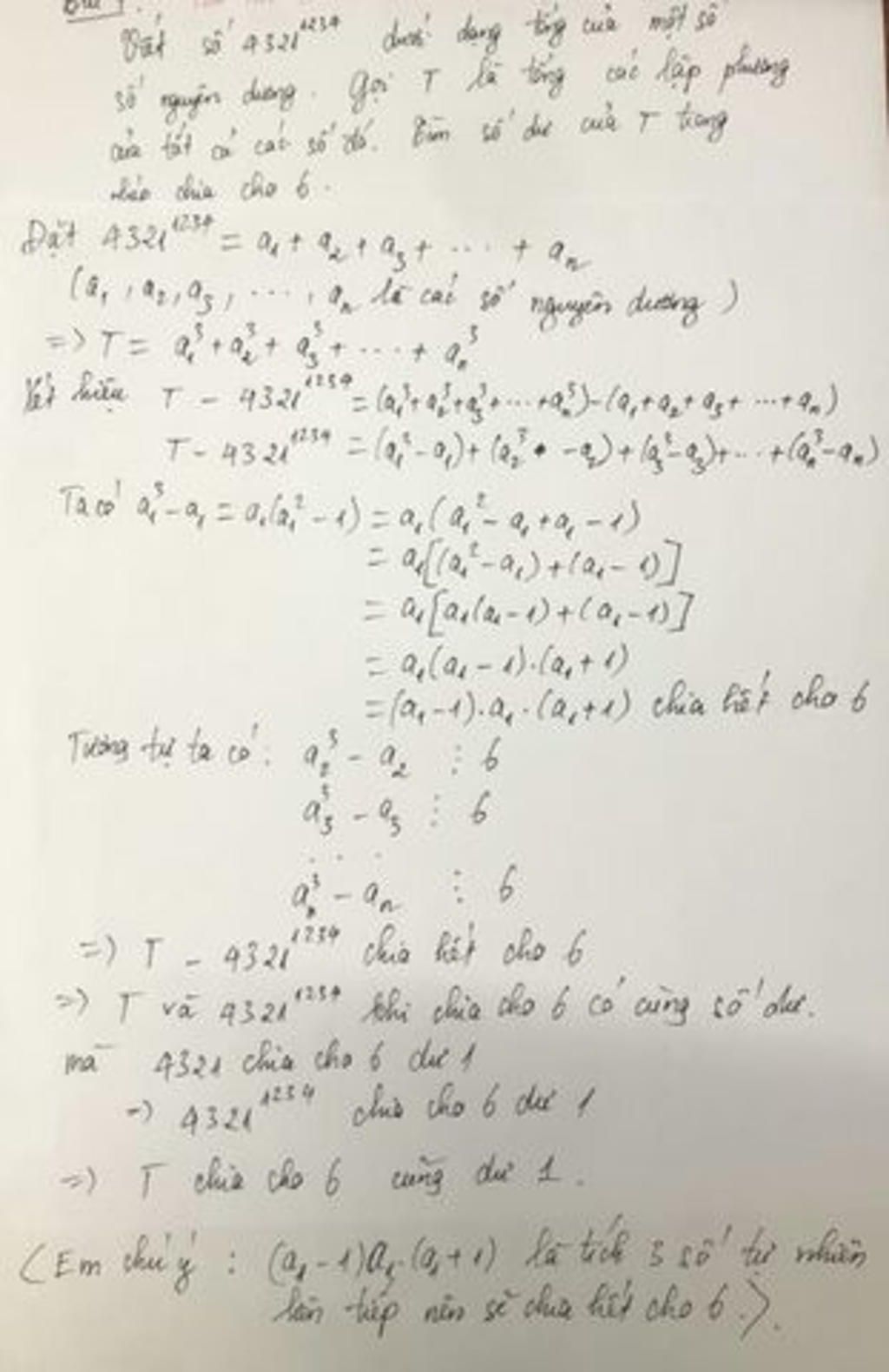
Đáp án: 1
Giải thích các bước giải: Đặt 4321^1234 = A
Ta có 4321 chia cho 3 dư 1
----> 4321^1234 chia 3 dư 1
----> A chia 3 dư 1
----> A = 3k +1 ( k∈N) )
Lại có 4321 chia cho 2 dư 1
---> 4321^1234 chia 2 dư 1
---> A = 2q +1 ( q∈N )
---> 3k +1 = 2q +1
---> 3k = 2q
---> 3k ⋮ 2
---> k ⋮ 2
---> k = 2m
---> A=3 . 2m +1
---> A = 6m+1
---> A chia 6 dư 1
Ta có a1 + a2 + ..... + aN
---> T = a1^3 + a2^3 + ..... + aN^3
Trừ vế cho vế
---> T - A =( a1^3 - a1 ) + ( a2^3 - a2 ) + .... + ( aN^3 - aN )
Ta có : y^3 - y = y . ( y^2 -1 ) = y . ( y-1 ) . ( y+1 ) = ( y -1 ) . y (y +1)
Vì y-1 , y , y+1 là 3 số tự nhiên liên tiếp
---> (y-1).y(y+1) ⋮ 2 , 3
---> (y-1).y(y+1) ⋮ 2 . 3 vì (2 , 3) = 1
---> (y-1).y(y+1) ⋮ 6
---> y^3 - y ⋮ 6
---> a1^3 - a1 , a2^3 -a2 , ..... , aN^3 - aN ⋮ 6
---> T - A ⋮ 6
---> T - A = 6x
---> T = A + 6x
---> T = 6m+1+6x
=> T chia 6 dư 1
CHÚC BẠN HỌC TỐT !
Hãy giúp mọi người biết câu trả lời này thế nào?

Bảng tin
0
55
0
chữ xấu quá