Đăng nhập để hỏi chi tiết


Hãy luôn nhớ cảm ơn và vote 5*
nếu câu trả lời hữu ích nhé!

Em tham khảo nha :
\(\begin{array}{l}
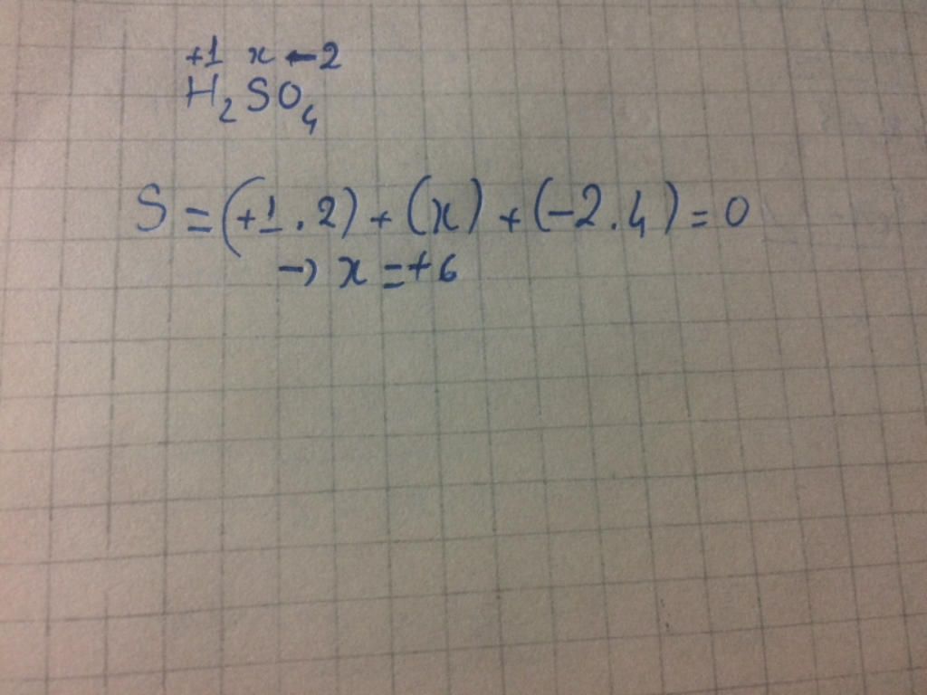
CTHH:{H_2}S{O_4}\\
\text{Gọi x là hóa trị của S trong hợp chất}\\
\text{Ta có H hóa trị I và Oxi có hóa trị II}\\
\text{Theo qui tắc há trị ta có :}\\
x + 2 \times 1 = 2 \times 4\\
\Rightarrow x = 6\\
\text{Vậy hóa trị của S trong hợp chất là VI}
\end{array}\)
Hãy giúp mọi người biết câu trả lời này thế nào?
Bảng tin
14800
147
15555
Câu trả lời của bạn bị xoá vì lí do Sai chính tả
112
3073
135
https://hoidap247.com/cau-hoi/1649152 giúp em với ạ