Đăng nhập để hỏi chi tiết


Hãy luôn nhớ cảm ơn và vote 5*
nếu câu trả lời hữu ích nhé!
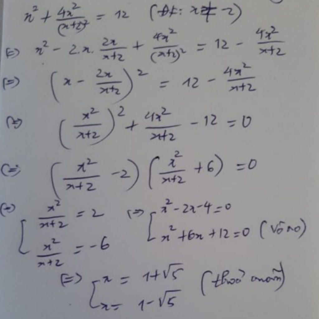
x^2 + 4x^2/(x+2)^2 = 12
x^2(x+2)^2 + 4x^2 = 12(x+2)^2
x^2(x^2+4x+4) + 4x^2 = 12(x^2+4x+4)
x^4+4x^3+4x^2+4x^2 = 12x^2+48x+48
x^4+4x^3+4x^2+4x^2-12x^2-48x-48=0
x^4+4x^3-4x^2-48x-48 =0
(x^2−2x−4)(x^2+6x+12) =0
TH 1 x^2−2x−4=0 =>x=𝑥=1±√5
TH 2 x^2+6x+12=0 => x vô nghiệm
Hãy giúp mọi người biết câu trả lời này thế nào?
Bảng tin