Vui lòng chỉ chọn một câu hỏi
Hoidap247.com Nhanh chóng, chính xác
+
Danh mục mới
0
10
Hãy luôn nhớ cảm ơn và vote 5* nếu câu trả lời hữu ích nhé!
16
255
3
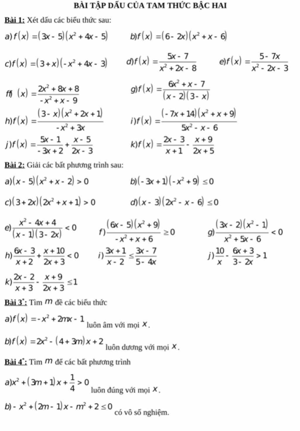
Đáp án: a) S= (-2;1)∪(5;+∞)
b) S= (-∞;-3]∪[1/3; 3]
Giải thích các bước giải: a) x-5=0⇔x=5
x²+x-2=0⇔ x=1, x=-2
BXD
x |-∞ -2 1 5 +∞
vt | - 0 + 0 - 0 +
b)
-3x+1=0⇔x=1/3
-x²+9=0⇔x=±3
x | -∞ -3 1/3 3 +∞
Hãy giúp mọi người biết câu trả lời này thế nào?
Xem thêm
Bảng tin
Gửi yêu cầu Hủy