

Hãy luôn nhớ cảm ơn và vote 5*
nếu câu trả lời hữu ích nhé!
Bài 5:
$a.$ $\frac {1}{\sqrt {7 - \sqrt {24}} + 1} - \frac {1}{\sqrt {7 + \sqrt {24}} + 1}$
$= \frac {1}{\sqrt {(\sqrt {6} - 1)^{2} } + 1} + \frac {1}{\sqrt {(\sqrt {6} + 1)^{2} } + 1}$
$= \frac {1}{\sqrt {6} - 1 + 1} + \frac {1}{\sqrt {6} + 1 + 1}$
$= \frac {1}{\sqrt {6}} + \frac {1}{\sqrt {6} + 2}$
$= \frac {\sqrt {6} + 2 + \sqrt {6}}{\sqrt {6}(\sqrt {6} + 2)}$
$= \frac {2\sqrt {6} + 2}{\sqrt {6}(\sqrt {6} + 2)}$
$= \frac {2\sqrt {6} + 2}{6 + 2\sqrt {6}}$
$= \frac {\sqrt {6} + 1}{3 + \sqrt {6}}$.
$b.$ $\frac {\sqrt {3}}{\sqrt {\sqrt {3} + 1} - 1} - \frac {\sqrt {3}}{\sqrt {\sqrt {3} - 1} - 1}$
$= \frac {\sqrt {3 - \sqrt {3}} + \sqrt {3} - \sqrt {3 + \sqrt {3}} - \sqrt {3}}{\sqrt {3 - 1} + \sqrt {\sqrt {3} + 1} - \sqrt {\sqrt {3} - 1} - 1}$
$= \frac {\sqrt {3 - \sqrt {3}} + \sqrt {3 + \sqrt {3}}}{\sqrt {\sqrt {3} + 1} - \sqrt {\sqrt {3} - 1} + \sqrt {2} - 1}$
$= \frac {9 - \sqrt {3}}{(\sqrt {3} + 1)(\sqrt {3} - 1) + \sqrt {2} - 1}$
$= \frac {9 - \sqrt {3}}{2\sqrt {2} -_1}$.
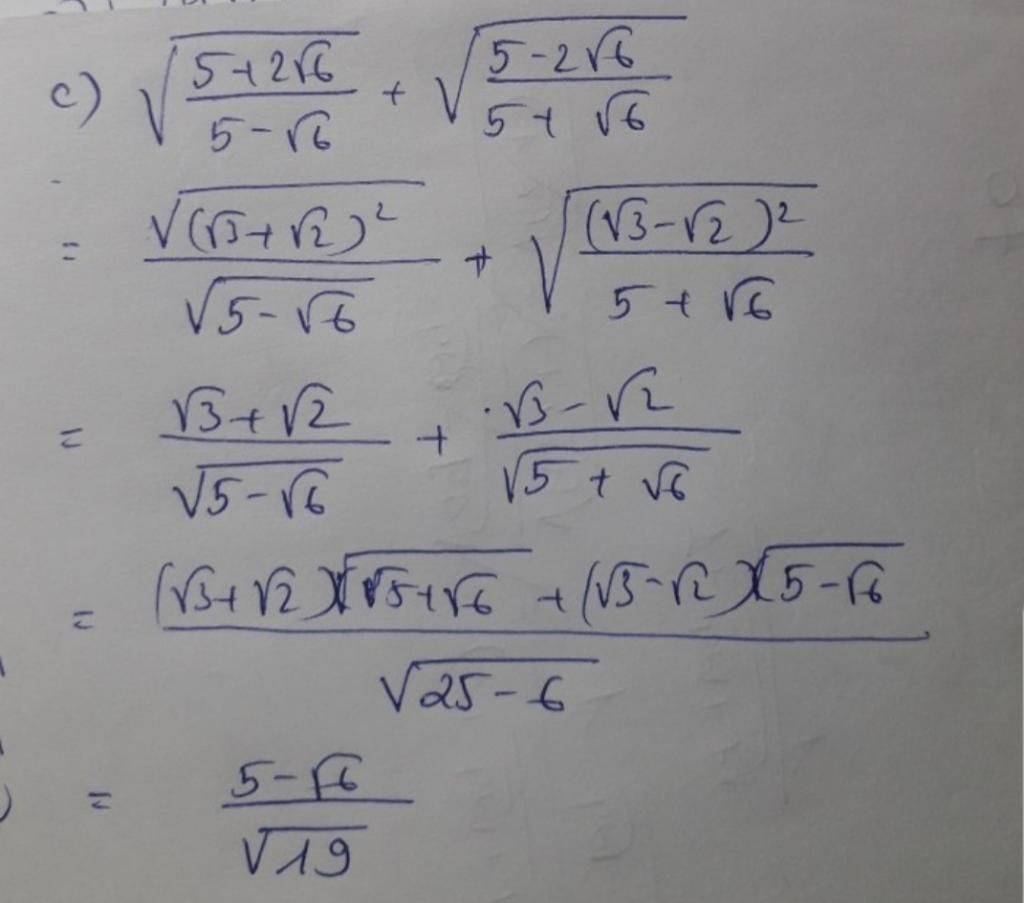
$c.$ $\sqrt {\frac {5 + 2\sqrt {6}}{5 - \sqrt {6}}} + \sqrt {\frac {5 - 2\sqrt {6}}{5 + \sqrt {6}}}$
$= \frac {\sqrt ({\sqrt {3} + \sqrt {2})^{2}}}{\sqrt {5 - \sqrt {6}}} + \frac {\sqrt ({\sqrt {3} - \sqrt {2})^{2}}}{\sqrt {5 + \sqrt {6}}}$
$= \frac {\sqrt {3} + \sqrt {2}}{\sqrt {5 - \sqrt {6}}} + \frac{\sqrt {3} - \sqrt {2}}{\sqrt {5 + \sqrt {6}}}$
$= \frac{(\sqrt {3} + \sqrt {2})\sqrt {5 + \sqrt {6}} + (\sqrt {3} - \sqrt {2})\sqrt {5 - \sqrt {6}}}{\sqrt {25 - 6}}$
$= \frac {5 - \sqrt {6}}{\sqrt {19}}$.
$d.$ $\sqrt {\frac {3 + \sqrt {5}}{3 - \sqrt {5}}} + \sqrt {\frac {3 - \sqrt {5}}{3 + \sqrt {5}}}$
$= \frac {3 + \sqrt {5} + 3 - \sqrt {5} }{\sqrt {3 - \sqrt {5}}\sqrt {3 + \sqrt {5}}}$
$= \frac {6}{\sqrt {9 - 5}}$
$= \frac {6}{2}$
$= 3$.
XIN HAY NHẤT
CHÚC EM HỌC TỐT
Hãy giúp mọi người biết câu trả lời này thế nào?
Hãy giúp mọi người biết câu trả lời này thế nào?
Bảng tin