Vui lòng chỉ chọn một câu hỏi
Hoidap247.com Nhanh chóng, chính xác
+
Danh mục mới
0
10
Hãy luôn nhớ cảm ơn và vote 5* nếu câu trả lời hữu ích nhé!
255
4905
152
Đáp án:
Giải thích các bước giải:
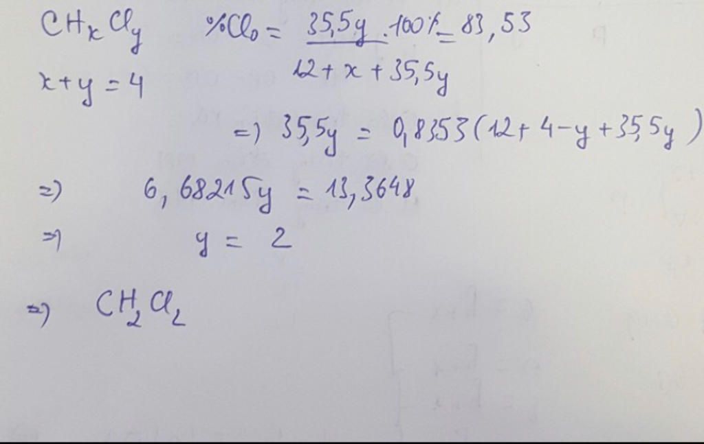
- Gọi h/c X là CH(4-x)Cl x
Ta có :
35,5.x/ 12+ 4-x+35,5x=83,53%
=> x=2
H/c X cần tìm : CH2Cl2
Hãy giúp mọi người biết câu trả lời này thế nào?
Xem thêm:
115
541
73
Bảng tin
Gửi yêu cầu Hủy