

Hãy luôn nhớ cảm ơn và vote 5*
nếu câu trả lời hữu ích nhé!
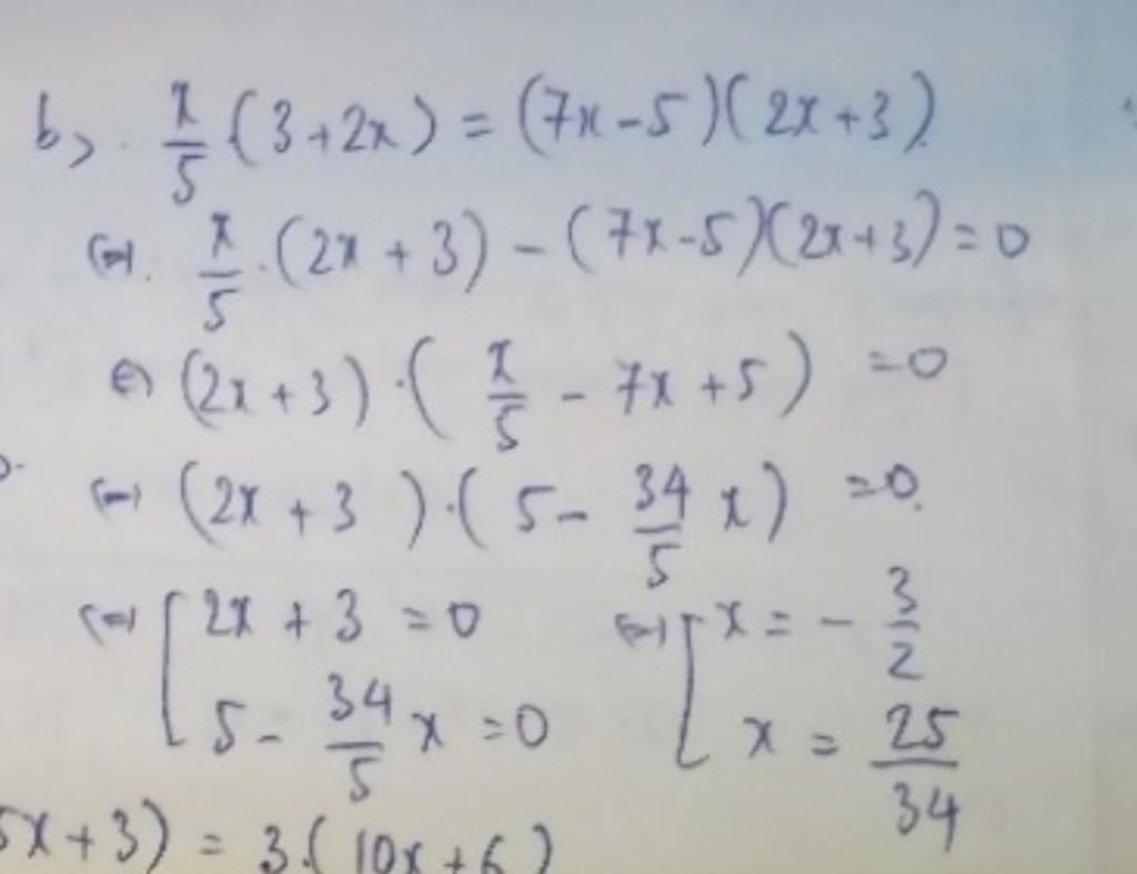
Đáp án:
`S={-3/2;25/34}`
Giải thích các bước giải:
`x/5(3+2x)=(7x-5)(2x+3)`
`<=>x/5(3+2x)-(7x-5)(2x+3)=0`
`<=>(2x+3)(x/5-7x+5 )=0`
`<=>` \(\left[ \begin{array}{l}2x+3=0\\\dfrac{x}{5}-7x+5=0\end{array} \right.\)
`<=>` \(\left[ \begin{array}{l}2x=-3\\\dfrac{-34x}{5}=-5\end{array} \right.\)
`<=>` \(\left[ \begin{array}{l}x=\dfrac{-3}{2} \\x=\dfrac{25}{34} \end{array} \right.\)
Vậy `S={-3/2;25/34}`
Hãy giúp mọi người biết câu trả lời này thế nào?
Bảng tin