Tham Gia Group Dành Cho Lớp 9 - Ôn Thi Vào Lớp 10 Miễn Phí
Bài 1: Giải các hệ phương trình sau:
2
1
+
fx-2y=1
S4x +3y = 6
7x-3y 5
%3D
а.
b.
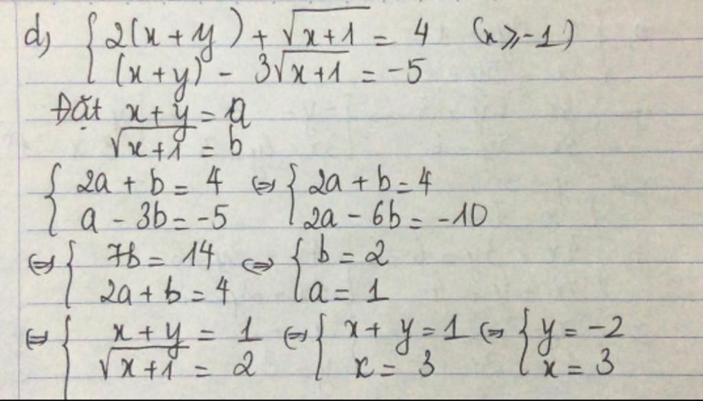
d. x-1 2y+1 5
с.
[3х - 5у%3D6
2x+ y = 4
y
= 2
3
2
11
2 3
%3D
x-1 2y+1 10
Bài 2: Giải bài toán bằng cách lập hệ phương trình
Một ô tô đi từ A đến B với vận tốc và thời gian dự định. Nếu chạy mỗi giờ chậm hơ ...
0
0
0
Bạn giải sdc bài 5 ko ạ
0
0
0
Mik cho 5 sao