Bài 3: (2,5 điểm)
1
1
1
x+1 y
1) Giải hệ phương trình:
9
+=-5
x+1 y
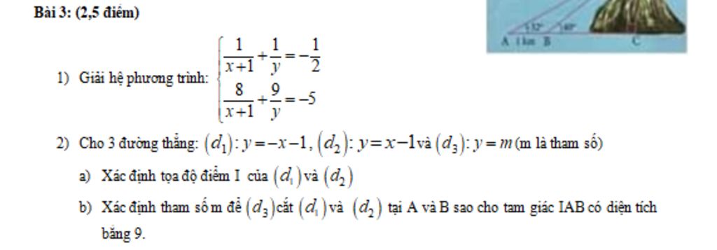
2) Cho 3 đường thẳng: (d): y=-x-1, (d,): y=x-lvà (d;): y = m (m là tham số)
a) Xác định tọa độ điểm I của (d, )và (d)
b) Xác định tham số m để (d;)cắt (d, )và (d,) tại A và B sao cho tam giác IAB có diện tích
băng 9.