Vui lòng chỉ chọn một câu hỏi
Hoidap247.com Nhanh chóng, chính xác
+
Danh mục mới
30
2
34
Hãy luôn nhớ cảm ơn và vote 5* nếu câu trả lời hữu ích nhé!
-23
0
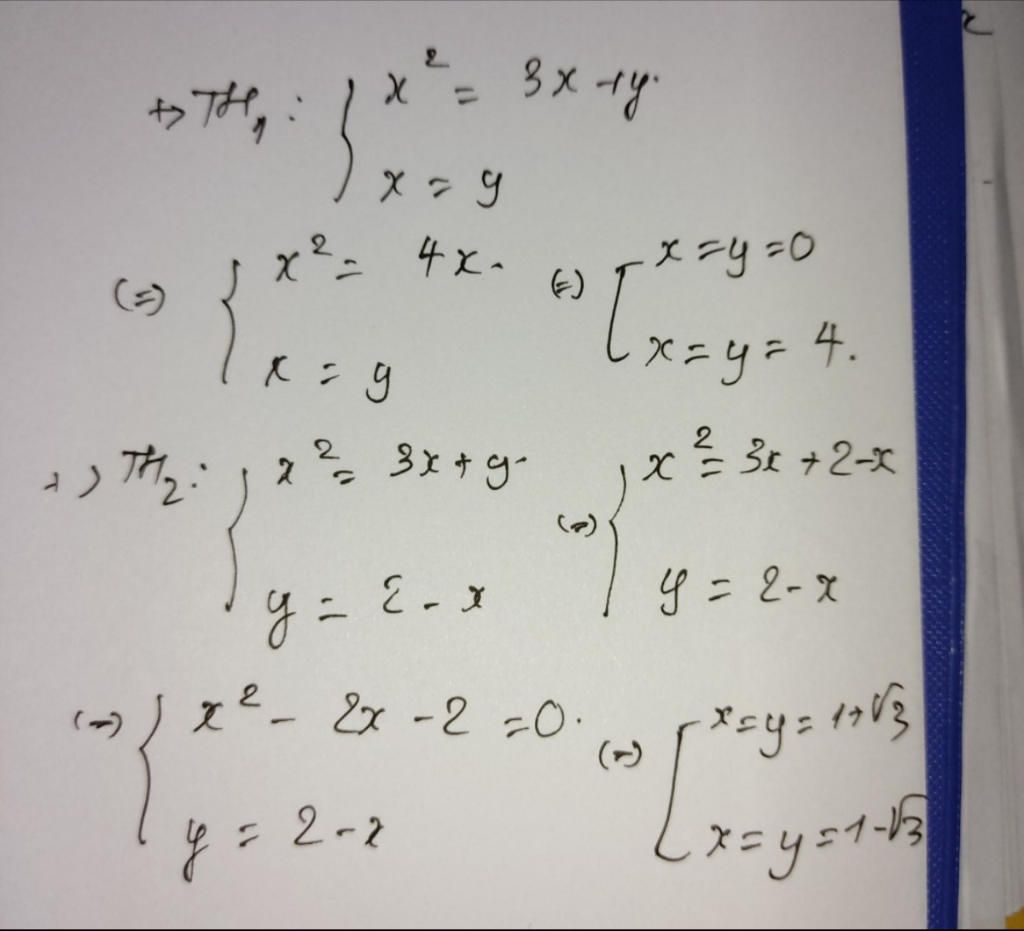
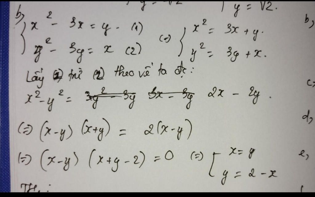
Đáp án:
Giải thích các bước giải:n
Mong duyệt
Hãy giúp mọi người biết câu trả lời này thế nào?
Ngược lại nhé
5 sao và cảm ơn
Cảm ơn b
Xem thêm:
Bảng tin
Gửi yêu cầu Hủy
2
-23
0
Ngược lại nhé
2
-23
0
5 sao và cảm ơn
30
2
34
Cảm ơn b