Tham Gia Group Dành Cho Lớp 9 - Ôn Thi Vào Lớp 10 Miễn Phí
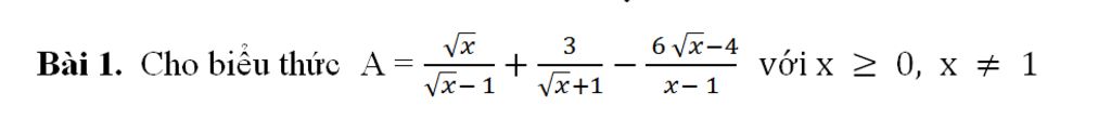
6 Vx-4
Bài 1. Cho biểu thức A:
3
+
Vx+1
với x 2 0, x + 1
Vx- 1
x- 1
2
g/ Tìm số nguyên x lớn nhất để M
có giá trị nguyên.
A
h/ tìm giá trị nhỏ nhất của N
(A>1)
A
Vx+1
k/ tìm x để 121x2 – 22 x = A.-
9Vx + 4