Vui lòng chỉ chọn một câu hỏi
Hoidap247.com Nhanh chóng, chính xác
+
Danh mục mới
4
991
2
Hãy luôn nhớ cảm ơn và vote 5* nếu câu trả lời hữu ích nhé!
2737
38348
2022
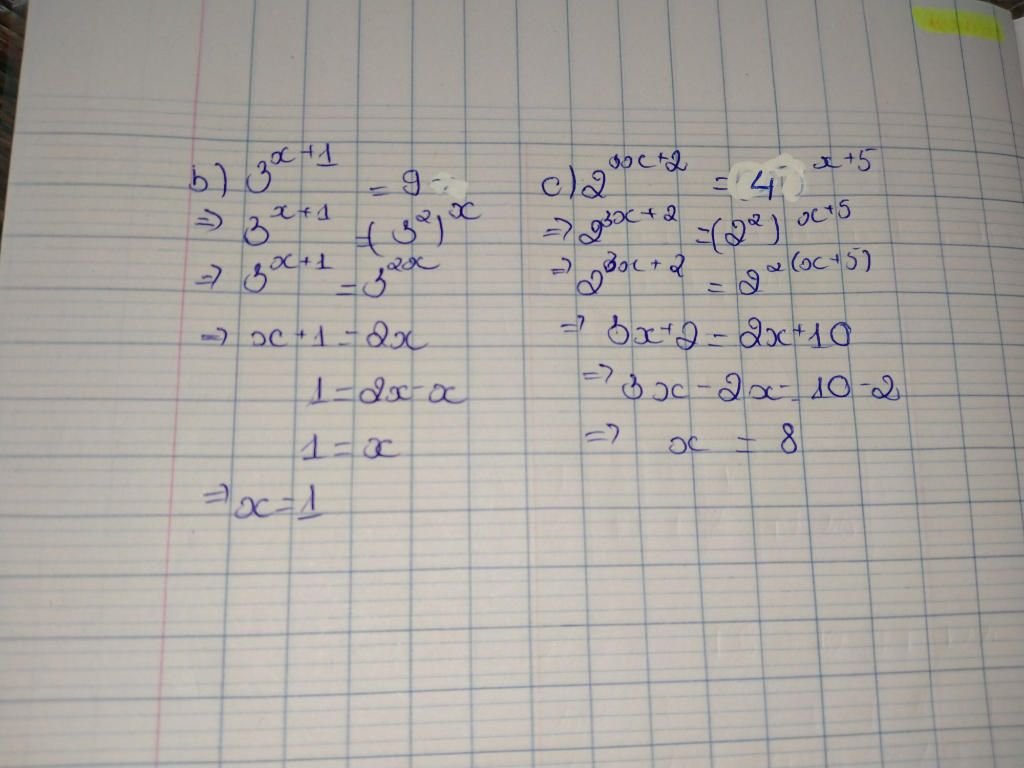
b/
`3^(x+1)=9^x`
`=>3^(x+1)=3^(2x)`
`=>x+1=2x`
`=>x=1`
c/
`2^(3x+2)=4^(x+5)`
`=>2^(3x+2)=2^(2x+10)`
`=>3x+2=2x+10`
`=>x=8`
Hãy giúp mọi người biết câu trả lời này thế nào?
249
4548
128
Đáp án:
Giải thích các bước giải:
Sao hk có j v bn
Có j bạn
Bảng tin
Gửi yêu cầu Hủy