Vui lòng chỉ chọn một câu hỏi
Hoidap247.com Nhanh chóng, chính xác
+
Danh mục mới
0
52
Hãy luôn nhớ cảm ơn và vote 5* nếu câu trả lời hữu ích nhé!
2400
11242
2935
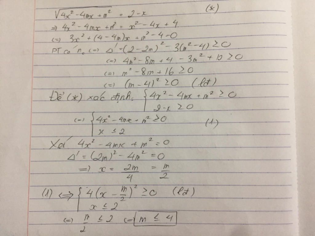
Giải thích các bước giải:
Ta có:√4$x^{2}$ -4mx+$m^{2}$=2-x
⇔ √(2x-m)²=2-x
Để pt có nghiệm thì:
⇒2x-m≥0 (1)
Lại có:2-x≥0
⇒ x ≥2
Dấu = xảy ra khi:x=2
Thay x=2 vào (1),ta đc:
⇒2.2-m≥0
⇔m≤4
Vậy: m≤4
Đáp án: C đúng
CHÚC BẠN HỌC TỐT NHEN "_"
Hãy giúp mọi người biết câu trả lời này thế nào?
đánh giá và ctlhn cho nhóm nhen :)))))))))))))
Mình cảm ơn rất nhiều ạ 🥰
đây đâu phải toán lớp 10 ??????????
bn sửa lại chỗ x> bằng 2 nhé
phải nhỏ hơn bằng 2 mới đúng mk vội quá nên ghi nhầm
nhưng kết quả vẫn đúng nhen :)))))))))))))))
Ơ mình đang học lớp 10 mà bạn, cô mình giao bài này á
53468
3081
52927
Đáp án: $C$
Bảng tin
Gửi yêu cầu Hủy
2400
11242
2935
đánh giá và ctlhn cho nhóm nhen :)))))))))))))
0
52
0
Mình cảm ơn rất nhiều ạ 🥰
2400
11242
2935
đây đâu phải toán lớp 10 ??????????
2400
11242
2935
bn sửa lại chỗ x> bằng 2 nhé
2400
11242
2935
phải nhỏ hơn bằng 2 mới đúng mk vội quá nên ghi nhầm
2400
11242
2935
nhưng kết quả vẫn đúng nhen :)))))))))))))))
0
52
0
Ơ mình đang học lớp 10 mà bạn, cô mình giao bài này á