Đăng nhập để hỏi chi tiết


Hãy luôn nhớ cảm ơn và vote 5*
nếu câu trả lời hữu ích nhé!
Đáp án:
BC = √306 ≈ 17,5 cm
Giải thích các bước giải:
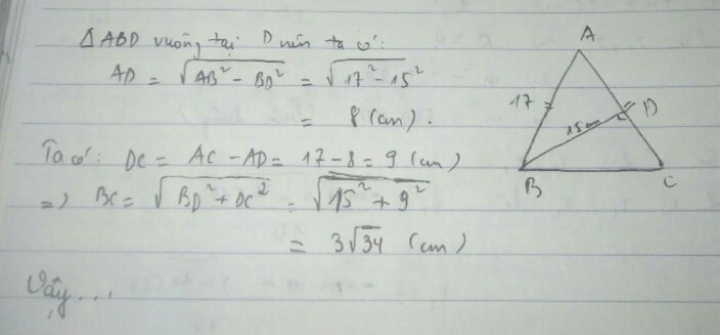
Xét ΔADB vuông tại D có:
AD² + DB² = AB² ( định lý Pytago )
=> AD² = AB² - DB²
= 17² - 15²
= 289 -225
= 64
=> AD = 8 cm
=> DC = 9 cm
Xét ΔDBC vuông tại D có
DB² + DC² = BC²
15² + 9² = BC²
225 + 81 = BC²
=> BC² = 306
=> BC = √306 ≈ 17,5 cm
Vậy ...
Hãy giúp mọi người biết câu trả lời này thế nào?
![]()
Bảng tin
0
6
0
Cám ơn
25
937
8
Ko có gì
43
1675
70
Trưởng nhóm ơi ?:)) Trưởng nhóm có thể lì xì cho em 1 cảm ơn + 5 sao được không ạ ?=)) Em lì xì cho trưởng nhóm là "5 điểm , vote sao , tim" rùi ạ :>>
2273
36916
2835
rùi ó nha @^^@