

Hãy luôn nhớ cảm ơn và vote 5*
nếu câu trả lời hữu ích nhé!

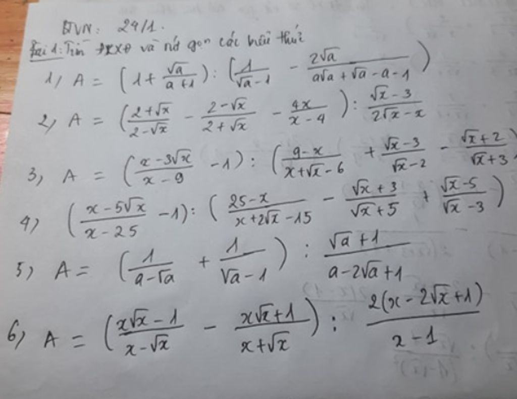
Đáp án:
6) \(\dfrac{{\sqrt x + 1}}{{\sqrt x - 1}}\)
Giải thích các bước giải:
\(\begin{array}{l}
1)DK:a \ge 0;a \ne 1\\
A = \left[ {\dfrac{{a + 1 + \sqrt a }}{{a + 1}}} \right]:\left[ {\dfrac{1}{{\sqrt a - 1}} - \dfrac{{2\sqrt a }}{{a\left( {\sqrt a - 1} \right) + \left( {\sqrt a - 1} \right)}}} \right]\\
= \dfrac{{a + 1 + \sqrt a }}{{a + 1}}:\dfrac{{a + 1 - 2\sqrt a }}{{\left( {a + 1} \right)\left( {\sqrt a - 1} \right)}}\\
= \dfrac{{a + 1 + \sqrt a }}{{a + 1}}.\dfrac{{\left( {a + 1} \right)\left( {\sqrt a - 1} \right)}}{{{{\left( {\sqrt a - 1} \right)}^2}}}\\
= \dfrac{{a + 1 + \sqrt a }}{{\sqrt a - 1}}\\
2)DK:x \ge 0;x \ne 4\\
\left[ {\dfrac{{4 + 4\sqrt x + x - 4 + 4\sqrt x - x + 4x}}{{\left( {2 - \sqrt x } \right)\left( {\sqrt x + 2} \right)}}} \right]:\dfrac{{\sqrt x - 3}}{{\sqrt x \left( {2 - \sqrt x } \right)}}\\
= \dfrac{{8\sqrt x + 4x}}{{\left( {2 - \sqrt x } \right)\left( {\sqrt x + 2} \right)}}.\dfrac{{\sqrt x \left( {2 - \sqrt x } \right)}}{{\sqrt x - 3}}\\
= \dfrac{{4\sqrt x }}{{\sqrt x - 3}}\\
3)DK:x \ne \left\{ {4;9} \right\}\\
A = \left[ {\dfrac{{\sqrt x \left( {\sqrt x - 3} \right)}}{{\left( {\sqrt x - 3} \right)\left( {\sqrt x + 3} \right)}} - 1} \right]:\left[ {\dfrac{{9 - x + x - 9 - x + 4}}{{\left( {\sqrt x + 3} \right)\left( {\sqrt x - 2} \right)}}} \right]\\
= \left( {\dfrac{{\sqrt x - \sqrt x - 3}}{{\sqrt x + 3}}} \right).\dfrac{{\left( {\sqrt x + 3} \right)\left( {\sqrt x - 2} \right)}}{{4 - x}}\\
= \dfrac{{ - 3}}{{\sqrt x + 3}}.\dfrac{{\left( {\sqrt x + 3} \right)\left( {\sqrt x - 2} \right)}}{{4 - x}}\\
= \dfrac{{3\left( {\sqrt x - 2} \right)}}{{\left( {\sqrt x - 2} \right)\left( {\sqrt x + 2} \right)}} = \dfrac{3}{{\sqrt x + 2}}\\
4)DK:x \ge 0;x \ne \left\{ {9;25} \right\}\\
A = \left[ {\dfrac{{\sqrt x \left( {\sqrt x - 5} \right)}}{{\left( {\sqrt x - 5} \right)\left( {\sqrt x + 5} \right)}} - 1} \right]:\left[ {\dfrac{{25 - x - x + 9 + x - 25}}{{\left( {\sqrt x + 5} \right)\left( {\sqrt x - 3} \right)}}} \right]\\
= \dfrac{{\sqrt x - \sqrt x - 5}}{{\sqrt x + 5}}.\dfrac{{\left( {\sqrt x + 5} \right)\left( {\sqrt x - 3} \right)}}{{9 - x}}\\
= \dfrac{{5\left( {\sqrt x + 5} \right)\left( {\sqrt x - 3} \right)}}{{\left( {\sqrt x + 5} \right)\left( {x - 9} \right)}}\\
= \dfrac{5}{{\sqrt x + 3}}\\
5)DK:a > 0;a \ne 1\\
A = \left[ {\dfrac{{1 + \sqrt a }}{{\sqrt a \left( {\sqrt a - 1} \right)}}} \right].\dfrac{{{{\left( {\sqrt a - 1} \right)}^2}}}{{\sqrt a + 1}}\\
= \dfrac{{\sqrt a - 1}}{{\sqrt a }}\\
6)DK:x > 0;x \ne 1\\
A = \left[ {\dfrac{{\left( {\sqrt x - 1} \right)\left( {x + \sqrt x + 1} \right)}}{{\sqrt x \left( {\sqrt x - 1} \right)}} - \dfrac{{\left( {\sqrt x + 1} \right)\left( {x - \sqrt x + 1} \right)}}{{\sqrt x \left( {\sqrt x + 1} \right)}}} \right].\dfrac{{x - 1}}{{2{{\left( {\sqrt x - 1} \right)}^2}}}\\
= \left( {\dfrac{{x + \sqrt x + 1 - x + \sqrt x - 1}}{{\sqrt x }}} \right).\dfrac{{\sqrt x + 1}}{{2\left( {\sqrt x - 1} \right)}}\\
= \dfrac{{2\sqrt x }}{{\sqrt x }}.\dfrac{{\sqrt x + 1}}{{2\left( {\sqrt x - 1} \right)}} = \dfrac{{\sqrt x + 1}}{{\sqrt x - 1}}
\end{array}\)
Hãy giúp mọi người biết câu trả lời này thế nào?

Bảng tin