Vui lòng chỉ chọn một câu hỏi
Hoidap247.com Nhanh chóng, chính xác
+
Danh mục mới
16
91
6
Hãy luôn nhớ cảm ơn và vote 5* nếu câu trả lời hữu ích nhé!
3136
53473
3287
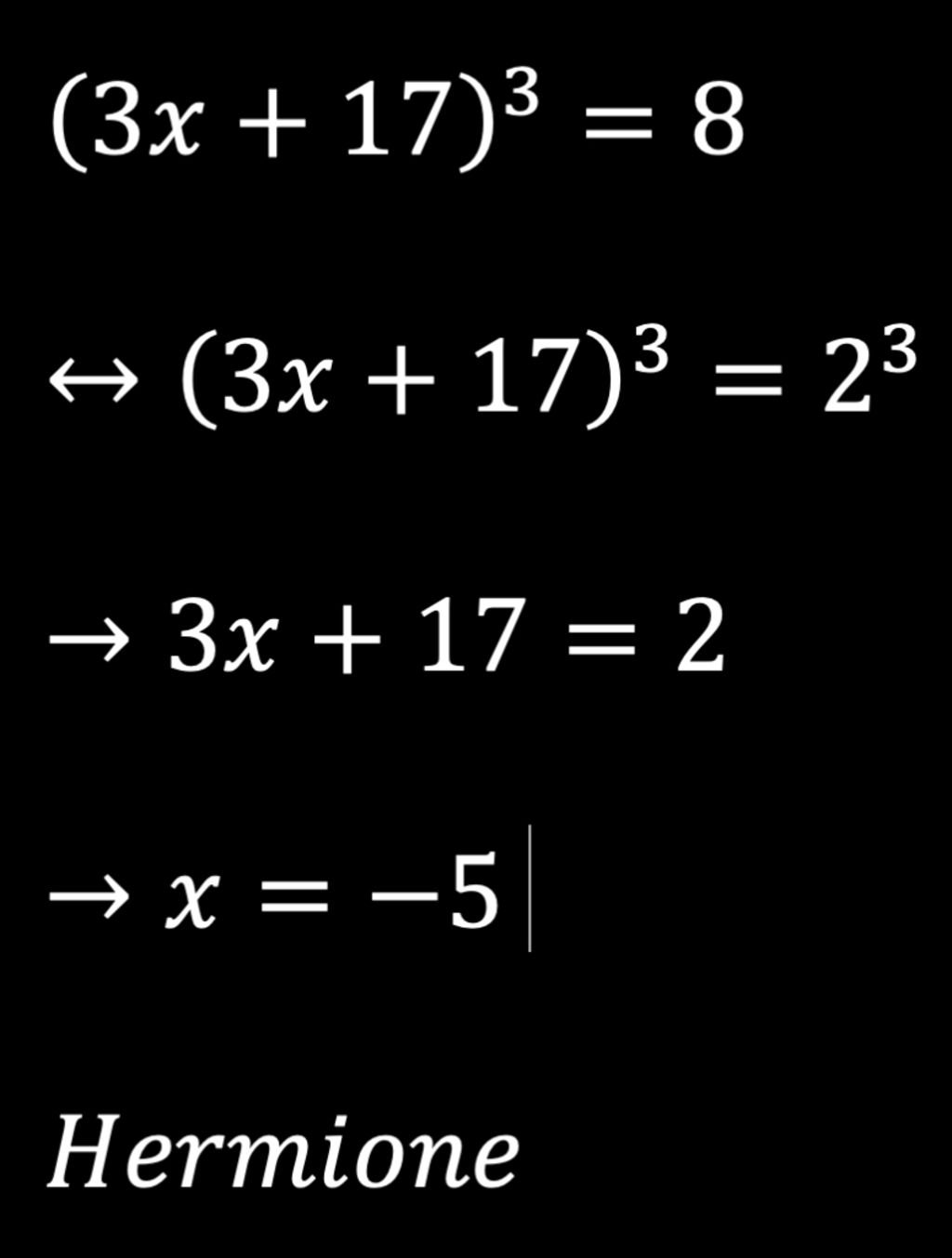
Bạn tham khảo bài.
*
$x=-5$
Hãy giúp mọi người biết câu trả lời này thế nào?
83
926
58
mod ơi cho e hỏi đc ko ạ
Dạ?
237
3971
187
`(3x+17)^3=8``=>(3x+17)^3=2^3``=>3x+17=2` ( cùng rút gọn $2$ vế đi `^3` )`=>3x=2-17=(-15)``=>x=(-15)/3``=>x=(-5)`
413
6664
404
live:.cid.5c1cb7b85aa3559
Bảng tin
Gửi yêu cầu Hủy
83
926
58
mod ơi cho e hỏi đc ko ạ
3136
53473
3287
Dạ?