

Hãy luôn nhớ cảm ơn và vote 5*
nếu câu trả lời hữu ích nhé!
Giải thích các bước giải:
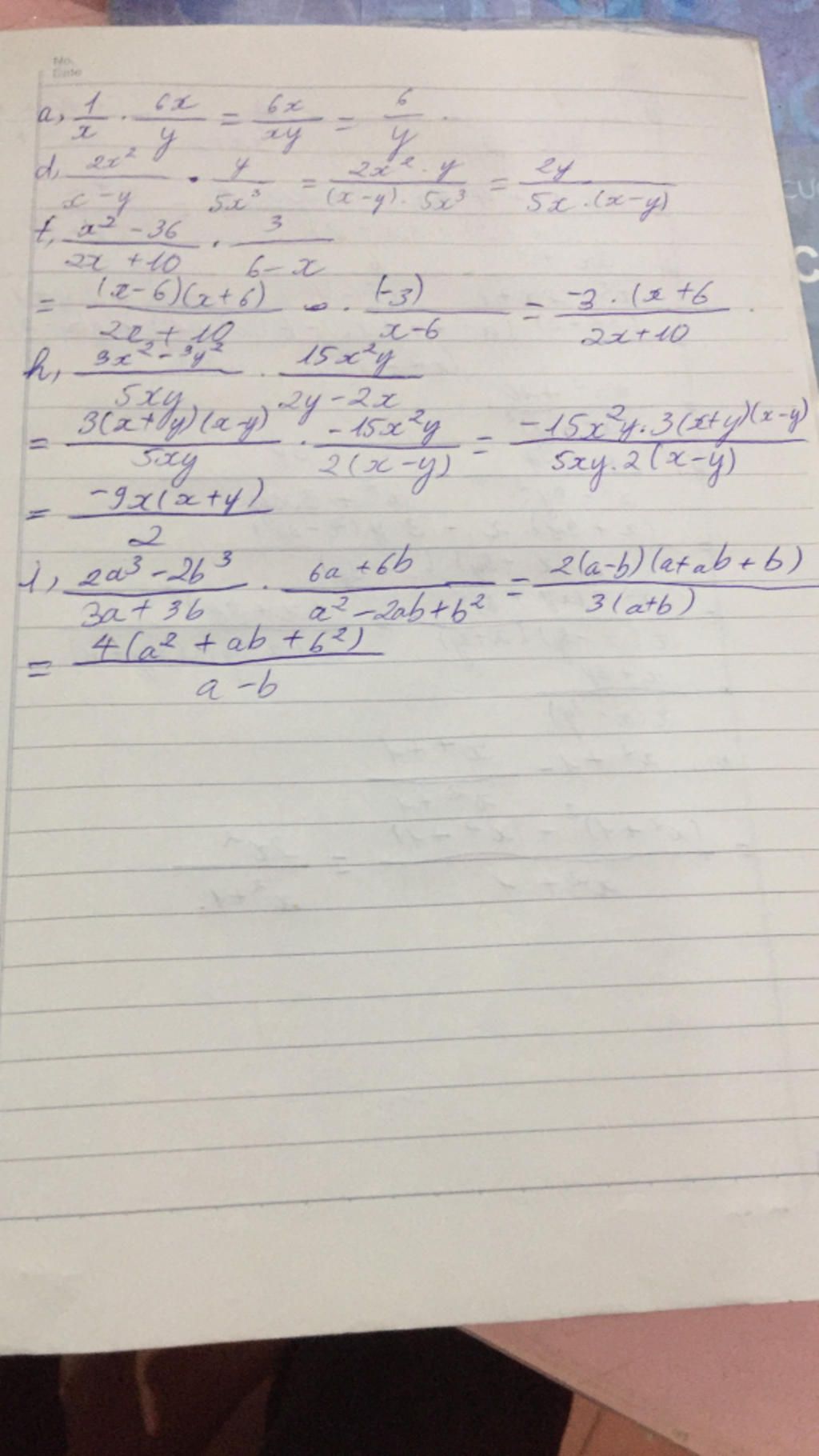
a, $\frac{1}{x}$ . $\frac{6x}{y}$ $=$ $\frac{1.6x}{xy}$ =$\frac{6}{y}$
$d,$ $\frac{2x²}{x - y}$ . $\frac{y}{5x³}$
$=$ $\frac{2x²y}{5x³(x-y)}$
$=$ $\frac{2y}{5x(x-y)}$
$f,$ $\frac{x² - 36}{2x + 10}$ .$\frac{3}{6-x}$
$=$ $\frac{(x+6)(x-6)}{2x+10}$ . $\frac{-3}{x-6}$
$=$ $\frac{-3(x+6)(x-6)}{(2x +10)(x-6)}$
$=$$\frac{-3(x+6)}{2x + 10}$
$h,$$\frac{3x²- 3y²}{5xy}$ . $\frac{15x²y}{2y - 2x}$
$=$ $\frac{3(x+y)(x-y)}{5xy}$ .$\frac{-15x²y}{2(x - y)}$ $=$ $\frac{-15x²y.3(x+y)(x-y)}{5xy.2(x-y)}$
$=$ $\frac{-45x²y(x+y)(x-y)}{10xy(x-y)}$
$=$ $\frac{-9x(x+y)}{2}$
$i,$ $\frac{2a³ - 2b³}{3a + 3b}$ . $\frac{6a + 6b}{a² - 2ab + b²}$ $=$ $\frac{2(a-b)(a + ab + b)}{3(a+b)}$ .
$\frac{6(a + b)}{(a-b)²}$
$=$ $\frac{2(a-b)(a² + ab + b²).6(a+b)}{3(a+b)(a-b)²}$
$=$ $\frac{4(a² + ab +b²)}{a-b}$
Hãy giúp mọi người biết câu trả lời này thế nào?

Bảng tin