

Hãy luôn nhớ cảm ơn và vote 5*
nếu câu trả lời hữu ích nhé!
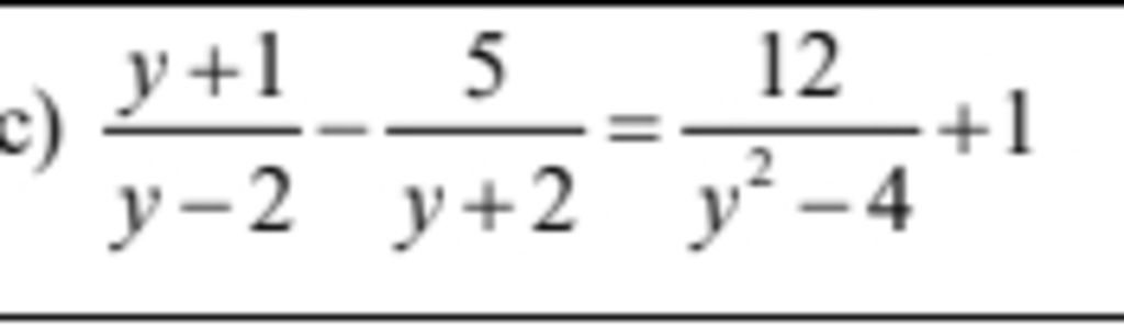
c)$\frac{y+1}{y-2}$ -$\frac{5}{y+2}$ =$\frac{12}{y^2-4}$ +1(ĐKXĐ y$\neq$ ±2)
⇒$\frac{(y+1)(y+2)-5(y-2)}{(y-2)(y+2)}$ =$\frac{12+y^2-4}{(y-2)(y+2)}$
⇒(y+1)(y+2)-5(y-2)=12+y²-4
⇒y²+3y+2-5y+10=8+y²
⇒(y²-y²)+(3y-5y)=8-10-2
⇒-2y=-4
⇒y=2(Không t/m ĐKXĐ)
⇒Không tìm được giá trị của y
⇒y∈∅
Vậy y∈∅
Hãy giúp mọi người biết câu trả lời này thế nào?
Đáp án:
kết luận:s={∅}
Giải thích các bước giải:
c)$\frac{y+1}{y-2}$ -$\frac{5}{y+2}$=$\frac{12}{y²-4}$ +1
⇒$\frac{y+1}{y-2}$ -$\frac{5}{y+2}$=$\frac{12}{(y-2)(y+2)}$ +1
ĐIỀU KIỆN XÁC ĐỊNH:y-2 $\neq$ 0 và y+2 $\neq$ 0
⇔y $\neq$ 2 và y $\neq$ -2
QUY ĐỒNG VÀ KHỬ MẪU KHI CÓ MẪU CHUNG LÀ (y-2)(y+2)
⇒(y+1)(y+2)-5(y-2)=12+(y-2)(y+2)
⇔(y+1)(y+2)-5(y-2)-12-(y-2)(y+2)=0
⇔y²+2y+y+2-5y+10-12-(y²+2y-2y-4)=0
⇔y²+2y+y+2-5y+10-12-y²-2y+2y+4=0
⇔-2y-4=0
⇔2(y-2)=0
⇔y-2=0⇔y=2(vô nghiệm)
kết luận:s={∅}
---------cho mình câu trả lời hay nhất nha,do mình còn 1 câu nữa thôi là mình được lên hiểu biết rồi-------
Hãy giúp mọi người biết câu trả lời này thế nào?
Bảng tin
288
10180
293
bạn sai bước số 2 rồi
2170
51975
2983
bn thử thay vào xem đúng ko
288
10180
293
y mũ 2 trừ 4 =(y-2)(y+2)
2170
51975
2983
mk xem lại nhiều r
288
10180
293
mà sao bn lại thêm số ở tử
2170
51975
2983
uk,mk lm thế mà
2170
51975
2983
đấy là quy đồng
288
10180
293
oh thường thì chỗ y mũ 2 trừ 4 thì phải chuyển sang hđt