

Hãy luôn nhớ cảm ơn và vote 5*
nếu câu trả lời hữu ích nhé!
Đây là câu trả lời đã được xác thực
Câu trả lời được xác thực chứa thông tin chính xác và đáng tin cậy, được xác nhận hoặc trả lời bởi các chuyên gia, giáo viên hàng đầu của chúng tôi.
Đáp án:
$A=1$
Giải thích các bước giải:
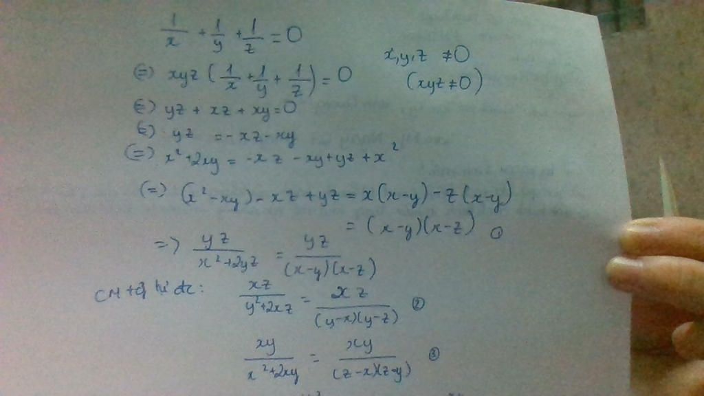
$\frac{1}{x}$ $+$ $\frac{1}{y}$ $+$ $\frac{1}{z}$$=0$ $→$$\frac{xy+yz+xz}{xyz}$ $ =0$ $→xy+yz+xz=0$ $→yz=-xy-xz$
$ta có : x² + 2yz = x²+yz-xy-xz=x(x-y)-z(x-y)=(x-y)(x-z)$ $Tương tự: y²+2xz=(y-x)(y-z) ; z²+2xy=(z-x)(z-y)$ $A=$$\frac{yz}{x²+2yz}$ $+$ $\frac{xz}{y²+2xz}$ $+$ $\frac{xy}{z²+xy}$
$=$$\frac{yz}{(x-y)(x-z)}$ $+$ $\frac{xz}{(y-x)(y-z)}$ $+$ $\frac{xy}{(z-x)(z-y)}$
$=$ $\frac{-yz(y-z)}{(x-y)(y-z)(z-x)}$$-$$\frac{xz(z-x)}{(x-y)(y-z)(z-x)}$$-$$\frac{xy(x-y)}{(x-y)(y-z)(z-x)}$
$=$ $\frac{-yz(y-z)-xz(z-x)-xy(x-y)}{(x-y)(y-z)(z-x)}$
$=$ $\frac{-yz(y-z)+xz(y-z+x-y)-xy(x-y)}{(x-y)(y-z)(z-x)}$
$=$$\frac{-yz(y-z)+xz(y-z)+xz(x-y)-xy(x-y)}{(x-y)(y-z)(z-x)}$ $=$$\frac{(y-z)(xz-yz)+(x-y)(xz-xy)}{(x-y)(y-z)(z-x)}$
$=$$\frac{z(x-y)(y-z)-x(x-y)(y-z)}{(x-y)(y-z)(z-x)}$ $=$$\frac{(x-y)(y-z)(z-x)}{(x-y)(y-z)(z-x}$ $=1$
Hãy giúp mọi người biết câu trả lời này thế nào?
![]()
Bảng tin
15
1118
15
idol giúp em
15
1118
15
:<<
2
843
0
Giải hay quá đọc thông não lun:))
1617
1665
1734
bài dễ hiểu quá ạ