

Hãy luôn nhớ cảm ơn và vote 5*
nếu câu trả lời hữu ích nhé!

Đáp án: $x\in\{-2,2\}$
Giải thích các bước giải:
Đặt $x^2=t\to t\ge 0$
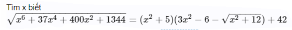
$\sqrt{x^6+37x^4+400x^2+1344}=(x^2+5)(3x^2-6-\sqrt{x^2+12})+42$
$\to \sqrt{t^3+37t^2+400t+1344}=(t+5)(3t-6-\sqrt{t+12})+42$
$\to \sqrt{(t+8)^2(t+21)}=(t+5)(3t-6-\sqrt{t+12})+42$
$\to (t+8)\sqrt{t+21}=(t+5)(3t-6-\sqrt{t+12})+42$
$\to (t+8)\sqrt{t+21}+(t+5)\sqrt{t+12}=(t+5)(3t-6)+42$
$\to (t+8)\sqrt{t+21}+(t+5)\sqrt{t+12}=3t^2+9t+12$
$\to (t+8)(\sqrt{t+21}-5)+(t+5)(\sqrt{t+12}-4)=3t^2+9t+12-5(t+8)-4(t+5)$
$\to (t+8).\dfrac{t+21-25}{\sqrt{t+21}+5}+(t+5).\dfrac{t+12-16}{\sqrt{t+12}+4}=3t^2-48$
$\to (t+8).\dfrac{t-4}{\sqrt{t+21}+5}+(t+5).\dfrac{t-4}{\sqrt{t+12}+4}=3(t-4)(t+4)$
$+)t-4=0\to t=4\to x^2=4\to x=\pm2$
$+)t-4\ne 0$
$\to \dfrac{t+8}{\sqrt{t+21}+5}+\dfrac{t+5}{\sqrt{t+12}+4}=3(t+4)$
Vì $t\ge 0$
$\to \dfrac{t+8}{\sqrt{t+21}+5}+\dfrac{t+5}{\sqrt{t+12}+4}\le \dfrac{t+8}{\sqrt{0+21}+5}+\dfrac{t+5}{\sqrt{0+12}+4}$
$\to 3(t+4)\le \dfrac{t+8}{\sqrt{0+21}+5}+\dfrac{t+5}{\sqrt{0+12}+4}$
$\to t\le \dfrac{-104\sqrt{3}-183-43\sqrt{21}-72\sqrt{7}}{28\sqrt{3}+51+18\sqrt{7}+11\sqrt{21}}<0$
Loại vì $t\ge 0$
Hãy giúp mọi người biết câu trả lời này thế nào?
Bảng tin
