Hãy luôn nhớ cảm ơn và vote 5*
nếu câu trả lời hữu ích nhé!
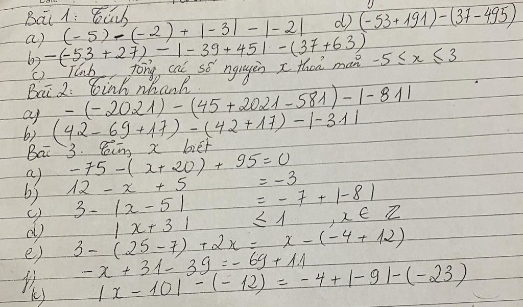
a. (-5) - (-2) + |-3|-|-2|
= -5 + 2 + 3 - 2
= (-5-2) + (2+3)
= -7 + 5
= - 2
b.-(-53+27)-|-39+45|-(37+63)
= 80 - 84 - 100
= -104
c. ta có -5 ≤ x ≤ 3
=> x ∈ {-5;-4;-3;-2;-1;0;1;2;3}
=> tổng của các số nguyên x là:
-5 + (-4) + (-3) + (-2) + (-1) + 0 + 1 + 2 + 3 = -9
d.(-53+191) - (37-495)
= -53 + 191 - 37 + 495
= (-53 - 37) + (191 + 495)
= - 90 + 686
= 596
bài 2.
a.-(-2021)-(45+2021-581)-|-81|
= 2021 - 45 - 2021 + 581 - 81
= (2021 - 2021) - 45 + (581-81)
= 0 - 45 + 500
= 455
b.(42-69+17)-(42+17)-|-31|
= 42-69+17 - 42-17 - 31
= (42-42) -69 + (17-17 ) -31
= 0 - 69 + 0 - 31
= 0+0-(69-31)
= 0 - 100
= -100
bài 3.
a.-75-(x+20)+ 95 = 0
-75-(x+20) =0 - 95
-75-(x+20) = - 95
( x + 20) = -75 - 95
x +20 = - 150
x = - 150 - 20
x = -170
vậy x = -170
Hãy giúp mọi người biết câu trả lời này thế nào?
$\color{brown}{Gửi ~e~}$
$\color{blue}{Bài~1}$
`text {a/( - 5) - (- 2) + | - 3| - | - 2 |}`
`text{= (- 5 - 2) + ( 2 + 3 )}`
` text{= - 2}`
`text{b/- ( - 53 + 27)- | - 39 + 45| - (37 + 63)}`
`text{ = 80 - 84 - 100}`
`text{= - 104}`
`text{c/ có :}`
`text{- 5 ≤ x ≤ 3}`
`text{=> x ∈ {-5;-4;-3;-2;-1;0;1;2;3}}`
`text{=> tổng của các số nguyên x là:}`
`text{- 5 + (- 4) + (- 3) + (- 2) + (- 1) + 0 + 1 + 2 + 3 = - 9}`
`text{d/(- 53 + 191) - (37 - 495)}`
`text{= (- 53 - 37) + (191 + 495)}`
`text{ = 596}`
_______________________________________
$\color{blue}{Bài~2}$
`text{a/ - ( - 2021) - (45 + 2021 - 581) - | - 81 |}`
`text{= (2021 - 2021) - 45 + (581 - 81)}`
`text{= 455}`
`text{b/(42 - 69 + 17) - ( 42 + 17) - | -31|}`
`text{= 42 - 69 + 17 - 42 - 17 - 31}`
`text{= (42 - 42) - 69 + (17 - 17 ) - 31}`
`text= -100}`
_______________________________________
$\color{blue}{Bài ~3}$
`text{a/ - 75 - ( x + 20) + 95 = 0}`
`text{ <=> - 75 - ( x + 20) = - 95}`
`text{<=> x + 20 = - 150}`
`text{=> x = - 170 }`
Hãy giúp mọi người biết câu trả lời này thế nào?
Bảng tin
14
482
21
ê.