Đăng nhập để hỏi chi tiết


Hãy luôn nhớ cảm ơn và vote 5*
nếu câu trả lời hữu ích nhé!
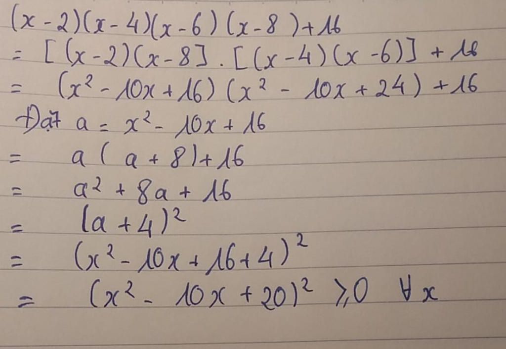
$\quad (x-2)(x-4)(x-6)(x-8) +16$
$= (x^2 - 10x +16)(x^2 - 10x + 24)+16$
$= (x^2 -10x)^2 + 40(x^2 - 10x) + 384 + 16$
$= (x^2 -10x)^2 + 2.20(x^2 - 10x) + 400$
$= (x^2 - 10x + 20)^2 \geq 0\quad \forall x$
Vậy $(x-2)(x-4)(x-6)(x-8) +16\geq 0\quad \forall x$
Hãy giúp mọi người biết câu trả lời này thế nào?
Bảng tin